Etiquetado: colesterol
Nuevo artículo en defensa de los fármacos que bajan el colesterol
La industria farmacéutica acaba de publicar un artículo en defensa de las estatinas:
«Interpretation of the evidence for the efficacy and safety of statin therapy«
Por un lado vuelven a publicar datos antiguos que confirman lo que ya sabemos, que es que los efectos de estos fármacos sobre la mortalidad son ridículos. No es de extrañar la insistencia que tienen en hablar de resultados que no son la mortalidad. Pero por otro lado, me ha resultado ilustrativo mirar por encima el artículo, pues, entre muchos otros datos, citan un estudio que justamente acababa de hojear. Supuestamente ese estudio dice que en personas de más de 90 años tener el LDL bajo por causa genéticas está asociado a una menor mortalidad. O al menos eso es lo que parece que nos quieren contar:
using the Mendelian randomisation approach, lower genetically determined LDL cholesterol concentrations are associated with lower all-cause mortality even among individuals aged older than 90 years.
Lo del «even among» habría que verlo, pues ese estudio únicamente analiza esa relación para mayores de 90 años.
Así de primeras, yo lo que entendería es que, según ese estudio, «los que tienen el colesterol bajo a los 90 años viven más». Cabe plantearse el impacto de esa conclusión, de ser correcta, pues no creo que a esas edades vaya a haber muchas diferencias en términos de tiempo de vida adicional, hagas lo que hagas, y a lo mejor una medicación inútil puede degradar tu calidad de vida de forma absurda.
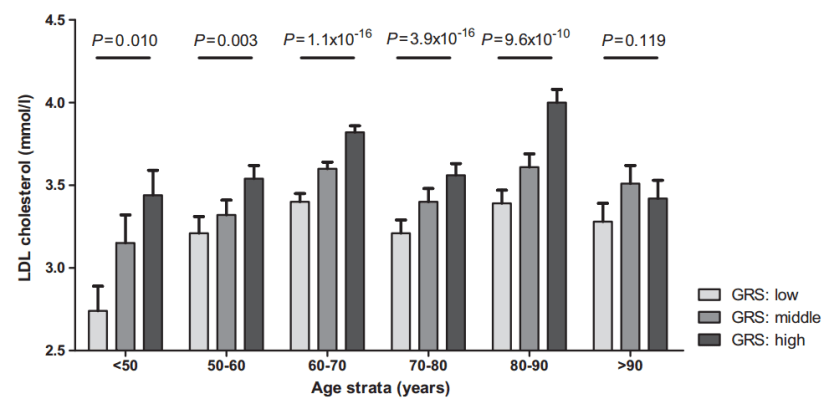
Acudiendo al artículo citado, vemos que clasifican a los participantes en tres grupos en función de un parámetro de origen genético denominado GRS (Genetic Risk Score). Y para más de 90 años las diferencias entre tener ese parámetro bajo, intermedio o elevado, están asociadas a niveles de colesterol de 126, 136 y 132 mg/dl, respectivamente. Es decir, sin diferencias apreciables en el LDL entre grupos, como los propios autores del estudio constatan con el parámetro P=0.119. Además, fijémonos en que no existe una relación clara entre LDL y GRS por encima de los 90 años: los que mayor tienen el parámetro GRS no son los que más LDL tienen.

En este estudio, para mayores de 90 años los autores encuentran una relación estadística pequeñísima entre el parámetro de origen genético GRS y mortalidad, con un RR de 1.13 entre terciles extremos.
Conclusión de la industria farmacéutica: el LDL es malo-malísimo, y si lo tienes elevado por culpa de la genética, estás en peligro de muerte. La secuencia lógica que pretenden transmitir es:
- La genética te puede subir el LDL
- Tener el LDL alto es un peligro para la salud y debes medicarte. ¡Se mueren más los que tienen esa predisposición genética!
Pero como hemos visto en la gráfica anterior,
- no hay diferencias relevantes en el LDL de los tres terciles, con lo que el punto 1 es falso en el grupo considerado (mayores de 90 años).
- aunque no hay diferencias apreciables entre grupos, en cualquier caso los que más mueren no son los que tienen el LDL más elevado (136 mg/dl), sino los que tienen el LDL intermedio (132 mg/dl), por lo que el punto 2 de la argumentación también es falso. ¡Y nótese la diferencia de LDL entre ambos grupos!
Y además, recordemos que las diferencias de RR entre grupos son mínimas: 1, 1.08 y 1.13.
Aunque nos engañaran con estos datos, no olvidemos que habría que seguir exigiendo los datos que demuestran el efecto de los fármacos que venden estos señores. Eso es una cuestión aparte y relevante en sí misma.
Sólo un comentario más: en el artículo no daban la gráfica como la presento yo, sino «ampliada», haciendo parecer relevantes diferencias entre grupos que son muy pequeñas, especialmente cuando el colesterol LDL se ha medido con la ecuación de Friedewald, como es el caso. Escopeta de feria.
In all three cohorts, LDL-C levels were calculated using the Friedewald equation.
La gráfica original. Mira las diferencias en el LDL de cada tercil en el grupo >90 y luego mira esa diferencia en mi versión, en la que el eje vertical sí empieza en cero.
