Hidratos de carbono y salud
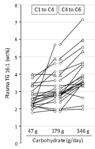
Nuevo estudio, publicado hace unos días, titulado «Effects of step-wise increases in dietary carbohydrate on circulating saturated Fatty acids and palmitoleic Acid in adults with metabolic syndrome«. Dieciséis adultos con síndrome metabólico se someten a seis intervenciones dietarias (llamadas C1-C6), de tres semanas de duración cada una, en las que gradualmente se van introduciendo más carbohidratos y menos grasa saturada. Resultados destacados por los autores:
- No se encuentra relación entre la grasa saturada dietaria y en plasma sanguíneo. En la mayoría de los participantes la grasa saturada en plasma aumentó conforme se introdujeron más carbohidratos en la dieta.
- Aumentar los carbohidratos aumenta la concentración de ácido palmitoleico, un biomarcador consistentemente asociado con efectos negativos sobre nuestra salud (diabetes tipo 2, síndrome metabólico, hiperglucemia, etc.).
En la imagen se puede ver cómo a medida que los participantes ingerían más carbohidratos, su concentración de ácido palmitoleico (16:1) en los triglicéridos aumentaba:
Los autores del estudio decidieron comprobar en cinco de los participantes el efecto de invertir la secuencia de las dietas, partiendo de una dieta con gran cantidad de carbohidratos (C6) y gradualmente reducirlos hasta llegar a la C1, y comprobaron que el ácido palmitoleico disminuía. El ácido palmitoleico podría ser indicador de un metabolismo estropeado de los carbohidratos, indican los autores. Ni siquiera dietas hipocalóricas como las empleadas en el experimento evitan ese efecto de los carbohidratos.
Leer más:
Carbohydrates are more harmful than saturated fats: new study

https://twitter.com/_Jamie_Scott/status/730331346015490048
Del tuit me interesa el comentario: yo no usaría la palabra «generar», sino «acumular», porque el mecanismo principal no es la «de novo lipogénesis», sino la lipogénesis a secas.