Otro experimento con ingestas isocalóricas en ratas
Experimento con ratas. Hay ratas que siguen una dieta control durante 120 días. Otras ratas siguen una dieta alta en sacarosa («sucrose rich»: 30% de la energía) durante 90 días, luego las dividimos en dos grupos: uno sigue con la misma alimentación, pero al otro («sucrose rich+cod liver oil») le sustituimos un tipo de grasa (aceite de maíz) por otra (aceite de hígado de bacalao) a partir del día #91. No hay diferencias en la ingesta energética entre los diferentes grupos de ratas:

Al cabo de los 120 días, la acumulación de grasa epididimal (sería algo así como la grasa visceral en humanos) es claramente diferente según la dieta seguida:

Evidentemente la causa de la distinta acumulación de grasa epididimal tiene que ser la distinta composición de la dieta, no las calorías, pues las dietas son isocalóricas. El distinto efecto engordante de las dietas no lo determinan las calorías.
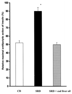
Lo que se aprecia es que con la dieta alta en sacarosa, la insulina inhibe de forma aumentada la lipólisis en los adipocitos, lo que aparentemente está provocando la acumulación neta de grasa. Esa inhibición aumentada desaparece cuando se cambia la dieta, añadiendo el aceite de hígado de bacalao (sin cambiar la ingesta calórica):

Si dietas isocalóricas, pero con distinta composición, alteran de distinta forma las tasas de entrada y salida de triglicéridos en los adipocitos, ¿engordan lo mismo? ¿Dicen las leyes de la física que sí, pero los experimentos científicos dicen que no? ¿O más bien la teoría del balance energético es una fraudulenta interpretación de lo que dicen las leyes de la física?
Los autores del estudio no dejan pasar la oportunidad de soltar la burrada de rigor:
Adipose tissue deposition is the result of the difference between energy intake and energy expenditure.
La acumulación de tejido adiposo es el resultado de la diferencia entre ingesta energética y gasto energético.
¿Cómo has conseguido esos pectorales? He comido más de lo que he gastado.
¡Tu hijo es altísimo! Se nota que ha comido mucho más de lo que ha gastado.
La adicción al tabaco causa tabaquismo.
Otra frase de los propios autores del artículo:
the data clearly suggests that the reduction of fat pad adiposity, cell hypertrophy and lipolysis as well as the normalization of insulin action in epididymal and whole body peripheral tissue was due to fish oil administration.
los datos claramente sugieren que la reducción de la adiposidad de los depósitos de grasa, hipertrofia celular y lipólisis así como la normalización de la acción de la insulina en el tejido epididimal así como en el tejido periférico de todo el cuerpo fueron debidas a la administración del aceite de pescado.
Por un lado nos habían dicho que la grasa se acumula como resultado de comer más de lo que se gasta, pero en su experimento cambiar el tipo de comida, sin cambiar la ingesta calórica, ha hecho que se acumule más o menos grasa. No ha sido por hacer comer más o menos a los animales, ni por forzar una reducción o incremento en su actividad física. ¿No ven que sus propios resultados no encajan en la teoría del «balance energético»?
¿Qué aporta hablar del balance energético en nutrición? Confundir y engañar. No sirve para otra cosa.
Un Comentario