Etiquetado: leyes de la termodinámica
Otro ejemplo de cómo la composición de la dieta puede engordar, al margen de las calorías
«Obesity induced by a pair-fed high fat sucrose diet: methylation and expression pattern of genes related to energy homeostasis«
Experimento con ratas. Dos dietas: la dieta control y una dieta alta en azúcar y grasa. Por diseño del experimento, no hay diferencia en la ingesta energética:
By design, no differences in energy intake were found between both experimental groups. However, the animals fed a HFS diet increased their weights up in 209.2 ± 12.0 g, whereas the control group only gained 158.5 ± 7.2 g, being the differences statistically significant (p < 0.01).
En la tabla tenemos los datos de ingesta energética: 75.1 kcal/día en un grupo y 72.5 kcal/día en el otro

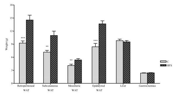
Pero la dieta alta en azúcar y grasa fue claramente más engordante. En la gráfica vemos el peso en gramos de distintos depósitos de grasa corporal (WAT, tejido adiposo blanco). Dieta control en gris claro, dieta HFS en gris oscuro:

Más engorde, con las mismas calorías.
Más engorde, con las mismas calorías.
Más engorde, con las mismas calorías.
Los defensores del balance energético nos dicen que los experimentos en animales no valen porque no están hechos en humanos. Es un argumento ad-hoc que intenta desacreditar resultados inconvenientes para su pseudociencia: las leyes de la física son las mismas en humanos y en los otros animales.
The current trial asserts the important role of the dietary macronutrient distribution on weight gain. Indeed, the amount and composition of the ingested food appeared to influence body-weight regulation [16]. Thus, the HFS group showed a statistically significant increase in body weight at the end of the dietary treatment compared with the C group, in spite of isocaloric intake.
El presente experimento constata el importante papel de la distribución de macronutrientes de la dieta sobre el aumento de peso. De hecho, la cantidad y la composición de los alimentos ingeridos parecen influir en la regulación del peso corporal. De hecho, el grupo HFS mostró un aumento estadísticamente significativo en el peso corporal al final del tratamiento dietario en comparación con el grupo C, a pesar de la ingesta isocalórica.
Leer más:
- Azúcar y ratas
- El azúcar engorda a los roedores, aunque no se consuman más calorías
- Otro estudio en el que el azúcar engorda a roedores, aunque no se consuman más calorías
- La evidencia científica es kriptonita para el balance energético
- Engordar por comer mal => CICO is dead
- Dietas isocalóricas —> Diferente pérdida de grasa corporal. Sumo y sigo
- Mismas calorías, misma distribución de macronutrientes, pero uno de los grupos consume azúcar (en ratas)