«Adelgaza poco a poco», otro consejo sin base científica
En la entrada anterior del blog hemos visto un ejemplo de cómo una dieta muy hipocalórica hace perder peso a corto plazo, y hace que recuperes prácticamente todo lo perdido al cabo de 3-4 años. No es que falte evidencia científica de que las dietas hipocalóricas funcionan, lo que se tiene son abundantes datos de que no funcionan para pérdida de peso a largo plazo.
¿Es el problema haber bajado demasiado la ingesta? ¿Habría funcionado el método si la reducción hubiese sido más moderada?
Vamos a ver un par de estudios científicos.
«LACK OF EFFECT OF A LOW-FAT, HIGH-FIBER DIET ON THE RECURRENCE OF COLORECTAL ADENOMAS»
Estudio de cuatro años de duración en el que se pone a prueba una dieta baja en grasa y alta en fibra.


Según la tabla, el grupo de intervención ha bajado la ingesta 100 kcal/día, y ha perdido 630 g (1.4 libras) en cuatro años. Pero de los datos del peso corporal obtenemos —si fuera cierto que cada 3500 kcal se pierde una libra de grasa y si la pérdida fuera de grasa— que el déficit calórico habría sido de unas 5000 kcal a lo largo de esos 4 años. Eso supone un déficit calórico medio de 3 kcal/día.
El grupo control ha bajado la ingesta 70 kcal/día y ganó 1 libra de peso. Pero de los datos del peso corporal —si fuera ganancia de grasa y si cada libra de grasa equivaliera a 3500 kcal— se deduce que esas personas habrían tenido un superávit calórico medio de 2 kcal/día.
«Low-Fat Dietary Pattern and Weight Change Over 7 Years. The Women’s Health Initiative Dietary Modification Trial«
Intervención de nueve años de duración, poniendo a prueba una dieta baja en grasa. El grupo de intervención bajó su ingesta en 360 kcal/día, mientras que el grupo de control lo hizo en 240 kcal/día.

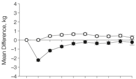
¿Cuánto peso perdieron gracias a esa restricción calórica? Los datos de peso corporal sólo pueden resumirse como espectaculares. Los autores del estudio no se atrevieron a dar el dato numérico al final del estudio (por modestia, supongo) aunque sí resaltaron que al cabo de un año las participantes habían perdido 2.2 kg ¡Más de dos kilos! ¿Quién no resaltaría el dato al cabo de un año, cuando es tan bueno? Y también resaltaron que las participantes consiguieron mantener parte de esos 2 kg, una pérdida significativa, gran parte del estudio. No es broma:
Mean weight decreased significantly in the intervention group from baseline to year 1 by 2.2 kg (P<.001) and was 2.2 kg less than the control group change from baseline at year 1. This difference from baseline between control and intervention groups diminished over time, but a significant difference in weight was maintained through year 9 (0.5 kg, P = .01);
Yo miro la gráfica de pérdida de peso, y me cuesta ver la «diferencia significativa». Al final del estudio el grupo de intervención perdió en término medio 250 gramos, mientras que el de control ganó 250 gramos. Eso, al cabo de 9 años con una dieta baja en grasa y prestando atención a la ingesta…

![]()
±250 gramos en 9 años no llegan a ±1 kcal/día de déficit o superávit calórico. Pero los datos de ingesta que se nos dan en el estudio hablan de centenas de kcal menos cada día. ¿Supieron mantener su peso con precisión suiza, comiendo exactamente lo que necesitaban (si eso tuviera algún sentido) o simplemente es la interacción entre la composición de la dieta y la biología la que marca cuánto pesamos y no existe tal cosa llamada «exceso calórico» o «déficit calórico» que nos haga engordar/adelgazar?
Hay una parte de los «expertos» en nutrición que sí reconoce la existencia de una reacción metabólica a la falta de alimento (o en otras palabras, el «efecto rebote») pero nos cuentan que la pérdida de peso tiene que ser gradual, con un déficit diario muy pequeño, de tal forma que el cuerpo no note que está perdiendo peso y no se «rebote». Puede parecernos razonable, pero no lo es. Por hermosa que sea la idea, y por bien que encaje en lo que creemos saber sobre cómo adelgazar, no se puede dar ese consejo sin acompañarlo de la información relevante: «no tenemos ningún estudio científico en el que esto haya funcionado, así que el consejo es puramente especulativo«. No pasa nada porque un profesional de la nutrición dé un consejo no basado en evidencia científica (seguro que ya ha pasado alguna vez), pero los clientes tienen derecho a saber que es así. Tienen derecho a estar correctamente informados de la efectividad real del tratamiento que se les recomienda. Si el consejo carece de fundamento científico, si está basado únicamente en prejuicios y pseudociencia, eso no se le puede ocultar al cliente.
La gráfica de evolución del peso corporal parece corroborrar que sí existió esa reducción en la ingesta al principio del estudio, y según los datos de la tabla también más adelante. Aunque los datos de los dos estudios que hemos visto fueran erróneos y no hubiera existido la restricción calórica, daría lo mismo: no hay, que yo sepa, ni un sólo estudio científico que demuestre que con una pequeña reducción calórica sostenida se puede perder peso (una cantidad importante y que se mantenga el nuevo peso a largo plazo, que es lo que le importa al cliente que necesita adelgazar). Los «expertos» no dudan en atacar con saña dietas diferentes a la suya, a menudo empleando todas la falsedades y mentiras que se les ocurren, pero lo cierto es que los métodos que ellos recomiendan carecen de fundamento científico. ¿Informan de ello a sus clientes?
NOTA: Según los autores del segundo estudio que he comentado, el resultado del grupo de intervención —en el que se baja la ingesta 360 kcal/día y en el que no se pierde nada de peso— demuestra que la recomendación de seguir una dieta baja en grasa y alta en carbohidratos no ha influido en la epidemia de obesidad en USA desde que esa dieta es recomendada oficialmente. Espero no ser el único que no ve la lógica por ninguna parte, ni siquiera aceptando la falsa premisa de que engordar es una cuestión de calorías.
Leer más:
https://twitter.com/aflichten/status/744345855143120896