Dieta baja en carbohidratos en sujetos con obesidad abdominal
«Long-term effects of a very-low-carbohydrate weight loss diet compared with an isocaloric low-fat diet after 12 mo«
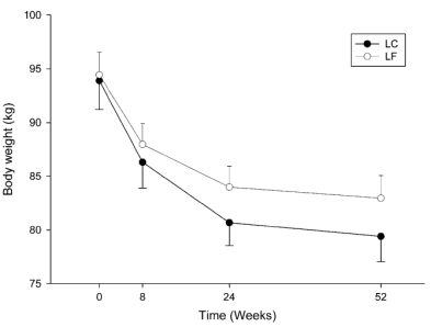
Estudio de un año de duración en hombres y mujeres con obesidad abdominal (y al menos un parámetro más en rango de síndrome metabólico). Dos dietas prácticamente isocalóricas, una baja en hidratos de carbono (20-37 g/día) y la otra baja en grasa y más elevada en carbohidratos (168-186 g/día). La ingesta calórica en ambos casos anduvo en el rango 1500-1650 kcal/día. Sin diferencias entre grupos en términos de calorías:
Total energy intake was similar in both groups across all stages of the intervention
La ingesta energética total fue similar en ambos grupos en todas las etapas de la intervención

La dieta más baja en hidratos de carbono resultó en una mayor pérdida de peso: 14.5 kg frente a 11.5 kg.
La dieta con menos hidratos de carbono produjo una pérdida de peso un 26% mayor en media, con similar ingesta calórica.
¡Habrán perdido más agua!
La pérdida de peso fue debida mayoritariamente a pérdida de grasa corporal:
reductions in FM accounted for most of the weight loss
las reducciones en grasa corporal representaron la mayor parte de la pérdida de peso
Una diferencia de 2 kg de grasa corporal perdida entre dietas, que es un 20% más:

Nota: En la tabla 2 de este estudio los porcentajes que nos dan de macronutrientes en la dieta no suman 100%.
Nota: el consumo de proteína fue mayor en el grupo LC respecto del LF, pero también la ingesta calórica fue algo mayor y no veo cómo explicaría una diferencia de un 20% en la pérdida de grasa corporal. Nótese que la idea de que el consumo de proteína ayuda a adelgazar por su efecto termogénico es seguir insistiendo en la creencia de que perder peso es un problema energético. Y esa idea es de origen pseudocientífico.
Leer más:

Vicente, sigo tu blog desde hace mucho tiempo. Te descubrí por Ana Muñiz y por Andrés. Me gusta pero a veces no entiendo mucho, me cuesta seguir tantos estudios y gráficos… quería preguntar qué conoces sobre Hashimoto. Yo hace muchos años que llevo alimentación paleo y ahora tb Low carb. El problema es que no consigo quitarme unos 5 kilos que me sobran… como comoda de verdad, hago deporte pero ahí que se resisten… hay algún enlace o estudio que me pueda aportar luz? Gracias.
Disculpa si éste no es el sitio pero me gustaría saber tú opinión. Mi marido ha seguido las mismas pautas y ha bajado 15 kilos….
Hola Encarnación,
de Hashimoto, lamentablemente, no sé nada. Llego hasta la generalidad: como en cualquier condición autoinmune, yo evitaría el gluten. Porque el análisis riesgo/beneficio es clarísimo: no hay ningún riesgo para la salud por no consumir gluten, y si Fasano tiene razón (fuente) mantener la barrera intestinal en buenas condiciones podría suponer no estar continuamente generando el estímulo que mantiene vivo el proceso autoinmume. Ya digo que, al margen de que sea cierto o no, no hay riesgo en no consumir gluten, por lo que para mí sólo hay una opción.
En el mismo sentido, procura pasar tiempo al aire libre y que te dé el sol. Es posible que la vitamina-D ayude a mantener la integridad de la barrera intestinal. Comentaré un resultado interesante sobre eso dentro de unos días (de este artículo experimental).
Los hallazgos relacionados con el daño de la barrera intestinal y el beneficio del uso de vitamina D sugieren su aplicación a otros trastornos relacionados con el gluten (como la sensibilidad al gluten no celíaca) donde se demuestra la presencia de permeabilidad intestinal alterada
En este artículo recomiendan estas dos medidas:
vale la pena mencionar que los pacientes con HT [Tiroiditis de Hashimoto] con o sin CD [enfermedad celíaca] se benefician de una dieta baja en gluten en lo que respecta a la progresión y las posibles complicaciones de la enfermedad
los datos presentados demuestran la asociación de la deficiencia de vitamina D con la patogénesis de TH, la hipofunción tiroidea y la autoinmunidad en general. Teniendo en cuenta el bajo costo y los efectos secundarios mínimos de la administración de suplementos de vitamina D, la detección de deficiencia de vitamina D y la administración cuidadosa de suplementos de vitamina D con monitoreo mensual de calcio y niveles de 25 [OH] D, cuando sea necesario, pueden recomendarse para pacientes con TH
Por las mismas razones, yo seguiría evitando los productos alimentarios con aditivos (fuente). Comida de humanos con un único ingrediente.
En cuanto a esos 5 kg, estamos todos igual de a oscuras. Nuestros cuerpos hacen lo que les viene en gana y muchos no atinamos a encontrar una solución que funcione. Y que nos digan que no nos preocupemos tampoco suele tener mucho éxito, porque sí nos preocupa tener esos kilillos de más. Mi primera opción sería dieta cetogénica combinada con HIIT. Y paciencia, a ver qué pasa a largo plazo. Pero sólo es una opción, no algo que sepamos que va a funcionar siempre para deshacernos de esos kilos. Y, bajo mi punto de vista, es vital no saltarse la dieta, la que sea: cuando falle, si falla, es importante saber por qué ha fallado. De lo contrario repetimos los mismos fallidos intentos una y otra vez. Y encima nos culpamos del fracaso.
Gracias por prestar atención a este blog. Una cosa más que agradecer a Ana y Andrés 🙂