La pérdida de peso está correlacionada con…
(english version: click here)
He leído un artículo de Zoë Harcombe sobre una comparación de 17 dietas de diferente contenido en carbohidratos. Por favor, lee el escrito de Harcombe antes de seguir.
No es mi intención contradecir a Zoë, pero me pareció interesante representar los datos que usa ella de forma gráfica. Sin matemáticas, solo análisis visual. Vamos a ello:
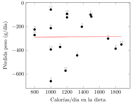
Peso perdido cada día (g/día) -vs- Calorías diarias

No aprecio que estén relacionadas por lo que yo diría que el total de calorías diarias no guarda relación con la pérdida de peso diaria cuando los carbohidratos son bajos (0-90g)
Peso perdido cada día (g/día) -vs- Carbohidratos diarios (g)
Parece que están relacionados, de forma que «cuantos menos carbohidratos, más pérdida de peso».
Peso perdido cada día (g/día) -vs- Duración del estudio (días)
Parece que los primeros días de las dietas la pérdida es más rápida (más g/día perdidos) y la pérdida es menor a medida que se alarga el estudio. PERO esa conclusión puede ser errónea porque casualmente los estudios más largos son en los que más carbohidratos se consumían (estudios 10, 11, 16 y 17 en la siguiente figura).
Parece complicado saber si los estudios más largos eran poco efectivos por largos o por permitir demasiados carbohidratos.
Pensé que era interesante agrupar los estudios en tres grupos (coloreados rojo, azul y negro) según su duración y comparar los estudios de duración simular:
Si miramos de nuevo (ver figura más abajo) Peso perdido cada día (g/día) -vs- Carbohidratos diarios (g) podemos concluir que:
- En los estudios cortos (puntos rojos) parece que existe una relación entre contenido en carbohidratos y pérdida diaria de peso
- En los estudios de duración intermedia (puntos azules), parece que también hay una relación, pero harían falta más puntos para estar seguros (si quitamos el estudio nº7 la relación desaparece)
- En los estudios de mayor duración (puntos negros), no parece que haya relación entre la pérdida de peso diaria y el consumo de carbohidratos, pero en esos estudios casualmente la cantidad de carbohidratos era más elevada que en el resto. Harían falta más puntos para poder sacar alguna conclusión fiable.
Dos gráficas más:
Peso total perdido (Kg) -vs- Duración del estudio (días)
Otra vez Peso perdido cada día (g/día) -vs- Calorías diarias pero ahora los puntos del mismo color se corresponden con estudios de duración parecida.
«Los tres autores concluyeron que el balance calórico (calories in vs. calories out), más que la composición en macronutrientes es el mayor determinante de la pérdida de peso”
«¿cómo pueden los autores concluir eso, a menos que tuvieran la intención de probar un punto de vista preconcebido?» Zoë Harcombe






