Weight loss correlates with…
(versión en español: pinchar aquí)
I read an article by Zoë Harcombe about the comparison of 17 diets with different amounts of carbs. Please read Harcombe’s post before proceeding.
I don’t disagree with Zoë, but I thought it would be nice to see the data she uses in a graphical form. No maths here, only graphical analysis. So, let’s go!
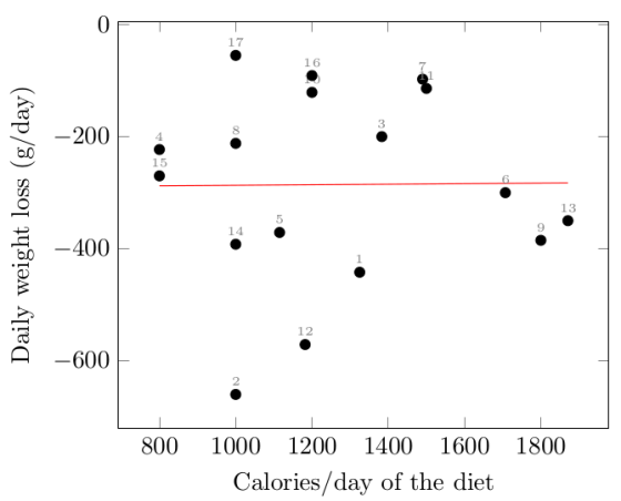
Daily weight loss (g/day) -vs- Daily Calories
I see no relationship so I would say that the total calorie intake is not related to the daily weight loss when carbs are low (0-90g)
Daily weight loss (g/day) -vs- Daily carb intake (g)
I would say there is a relationship and «less carbs are related to more daily weight loss».
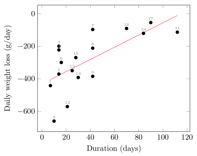
Daily weight loss (g/day) -vs- Study duration (days)
It seems that the first days of the diets weight loss is quicker (more g/day) and it slows down as the trial goes on. BUT that may be a wrong conclusion because incidentally the longest studies are the ones where more carbs were ingested (studies 10, 11, 16 and 17 in the picture below).
Are the longest studies worse for weight loss because of their duration or because they use more carbs than shorter studies? It’s hard to say.
I thought it would be interesting to compare studies with similar duration so I split them in three groups (colored red, blue and black) according to their duration:
So we can watch again (see picture below) Daily weight loss (g/day) -vs- Daily carb intake (g) and we can conclude that:
- In the shortest studies (red points) there seems to be a relationship between daily carb intake and daily weight loss
- For intermediate-duration studies (blue points), there seems to be also a relationship but I believe we would need more points to be sure (e.g. if study #7 didn’t exist, the relationship would be lost)
- For the longest studies (black points), there seems no be no impact of the carb intake on the daily weight loss but please note that incidentally the carb intake in those studies was always high. More points would be needed to draw conclusions.
Two more graphs:
Total weight loss (Kg) -vs- Study duration (days)
Again Daily weight loss (g/day) -vs- Daily Calories but now points with the same color belong to studies with similar duration.
«The three authors concluded “Caloric balance (calories in vs. calories out), rather than macro nutrient composition is the major determinant of weight loss.”
«how can the authors have concluded as they did, unless they set out to prove an already held point of view?» Zoë Harcombe







