¿Controlar el apetito?
¿Por qué funcionan las dietas bajas en hidratos de carbono para perder peso?
La respuesta que dan algunos «expertos»:
- Las grasas y las proteínas tienen un mayor poder saciante que los carbohidratos
- Eso nos lleva a comer menos
- Dado que comes menos, adelgazas
- Si comiendo menos tu peso vuelve a subir, es que has vuelto a comer «de más»
Cuando tu única herramienta es un martillo, solo ves clavos. Estos «expertos» solo ven las cosas desde la óptica de las calorías: si algo funciona, ha de ser porque te hace comer menos.
No pongo en duda el poder saciante de las grasas y proteínas, ni que los carbohidratos sean la causa directa de la necesidad de tener que comer cada tres horas. Y también creo que con una dieta low-carb, de forma natural y sin pretenderlo, se come menos. Pero, el dogma de que «si comes menos, adelgazas«, eso sí lo pongo en duda. Y también pongo en duda la afirmación de que las dietas de restricción calórica dejan de funcionar cuando la gente vuelve a sus malos hábitos alimenticios, es decir, se saltan la dieta. La restricción calórica deja de funcionar porque tenemos un elefante (ver).
«Effects of Low-Carbohydrate and Low-Fat Diets: A Randomized Trial«. Bazzano et al.
Estudio de finales del año 2014. Dos dietas:
- una en la que se recomienda reducir la ingesta de hidratos de carbono, aunque a la hora de la verdad se mantienen en un porcentaje elevado (30% de las Calorías y unos 100g/día). La grasa solo es el 42%, más o menos, de las calorías. No muy alta en grasas.
- y una en la que se recomienda reducir la ingesta de grasa, que se sitúa en el entorno del 30% de las Calorías, y en la que los hidratos de carbono suponen un poco más de la mitad de las calorías (53%, más o menos).
Ni la primera es demasiado low-carb (en mi opinión), ni la segunda es demasiado low-fat (según otras personas). Las llamaré LOW-CARB y LOW-FAT por acortar, pero sin dar por sentado que realmente lo sean.
Si vemos la evolución del peso con ambas dietas, lo que vemos es que con la LOW-CARB (línea discontinua) se perdió mucho más peso al cabo de un año: 5.3Kg frente a 1.8Kg.
Las Calorías no cuadran (una vez más…)
Para empezar, la restricción calórica de ambos grupos es de al menos 500 Calorías/día respecto de los niveles de partida.
Ese déficit calórico, mantenido durante 12 meses tendría que haber dado lugar a una pérdida de peso de 23.3Kg. ¿Corroboran los 1.8Kg perdidos por la dieta LOW-FAT esa predicción? ¿Y los 5.3Kg perdidos por el LOW-CARB?
Y dejemos de una vez la monserga que las dietas dejan de funcionar porque se vuelve a comer de más: NO, NO VOLVIERON A COMER DE MÁS. MANTUVIERON EL DÉFICIT CALÓRICO LOS 12 MESES Y LA DIETA NO FUNCIONÓ. Las dietas no fallan porque la gente las abandone. Es al contrario: la gente las abandonamos porque fallan. El mensaje de que para adelgazar lo importante es no abandonar la dieta, que lo que hay que hacer es coger una dieta, la que sea, y no dejarla, es contrario a la evidencia científica. ¿Dónde están las pruebas de que la gente que mantiene la restricción calórica a largo plazo adelgaza? Al contrario, las pruebas científicas dicen que no se adelgaza (ver). ¿Por qué se sigue recomendando algo que se ha demostrado que no funciona? ¿Creen quizá los expertos que es mejor dar una recomendación equivocada que reconocer que no tienen una respuesta?
Retomo el hilo: por otro lado, como vemos en la gráfica, casi toda la diferencia de peso se estableció en los 3 primeros meses. El dato que tenemos es que a los 3 meses los que siguieron la dieta LOW-CARB consumían 200 Calorías menos al día que los LOW-FAT. Si esa diferencia se hubiese mantenido desde el principio del estudio hasta ese día, y dando por buenas las teorías de los contadores de calorías (ver) eso serían 2.3Kg de diferencia. En realidad hubo 3.1Kg de diferencia.
Pero el grupo LOW-CARB siguió consumiendo 75-150 Calorías/día menos que el LOW-FAT, por lo que en los 9 meses restantes debería haber perdido entre 2.6 y 5.2Kg más. En esos 9 meses solo aventajó al otro grupo en 0.4Kg. Ni los datos de calorías que se nos dan explican las diferencias en la pérdida de peso inicial, ni explican que no haya diferencias en la parte final del estudio.
En cualquier caso no importa mucho: hay otros estudios que comparan dietas isocalóricas. Ya hablaremos de eso en otra entrada.
¿Por qué se estancó la pérdida de peso en la dieta LOW-CARB?
Nota: recordemos que la llamo LOW-CARB por sencillez, pero realmente tiene un 30% de carbohidratos (unos 100g/día).
En cuanto al estancamiento de la pérdida de peso en la dieta LOW-CARB, los datos que nos dan son que les recomendaron consumir menos de 40 g/día de hidratos de carbono, lo que podría explicar la pérdida de peso inicial, si es que al inicio del estudio siguieron mínimamente esa directriz, pero tomaron 97, 93 y 127 g/día a los 3, 6 y 12 meses, respectivamente. Cantidades probablemente adecuadas para mantenimiento de peso, pero quizá demasiados hidratos de carbono para perder peso (ver). Sobre eso, cabe recordar que en un reciente meta-análisis, los autores encontraron que en estudios científicos de dietas low-carb con menos de 60g/día de hidratos de carbono la pérdida de peso media que se había logrado era 17Kg, mientras que por encima de esa cantidad la pérdida media era de tan solo 2Kg (ver).
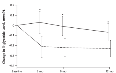
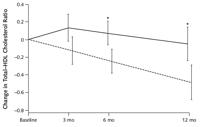
Algunos resultados más de este estudio
La dieta LOW-CARB:
- Redujo los triglicéridos
- Aumentó el HDL, mejorando el cociente Colesterol Total – HDL
- Redujo el porcentaje de grasa corporal y aumentó la masa no-grasa
La dieta LOW-FAT:
- Apenas redujo los trigicéridos
- Apenas aumentó el HDL y prácticamente no alteró el cociente Colesterol Total – HDL
- Aumentó ligeramente el porcentaje de grasa corporal y redujo ligeramente la masa no-grasa
Ojo a eso: en la segunda dieta, con un déficit de 500 Calorías/día, acabaron con ligeramente mayor porcentaje de grasa que al principio del estudio. Las gráficas no dejan lugar a las dudas sobre qué dieta fue mejor en términos de reducir el riesgo cardiovascular:
¿Se debieron los diferentes resultados a las diferentes ingestas calóricas de ambas dietas?
¿Concluimos que 1350 Calorías/día es más saludable que 1500 Calorías/día? ¿En serio? ¿Cuanto mayor es la restricción calórica, mejor?
¿Concluimos que con un déficit calórico de 500 Calorías/día no se reduce el porcentaje de grasa corporal pero con un déficit de 650 Calorías sí? ¿No habíamos quedado que un déficit calórico, por pequeño que fuese, era suficiente para quemar grasa? ¿Por qué en este estudio no se cumple?
Yo no veo que la diferencia de calorías de ambas dietas sea la explicación ni de porqué una dieta funciona mejor que otra para perder peso, ni de porqué una dieta es claramente más saludable que la otra.
Resumen
Las conclusiones que podemos sacar de este estudio, en mi opinión, son:
- Demuestra que la reducción calórica no sirve para adelgazar.
- Demuestra que NO se pierden 450g de peso por cada 3500 Calorías de reducción calórica. La realidad es que a largo plazo el peso perdido es ridículo.
- LOW-FAT: Los participantes han seguido la dieta, han mantenido la restricción calórica, y la restricción calórica NO ha funcionado para perder peso.
- LOW-CARB: puede ser que a partir de cierto momento del experimento la cantidad de carbohidratos en este estudio fuera excesiva, lo que quizá provocó que la pérdida de peso se estancara. Sin certeza sobre eso, solo es una hipótesis.
- Aparentemente una dieta con 1350 Calorías, un 30% de carbohidratos y un 40% de grasa es mejor para la salud y para el peso que una dieta con 1500 Calorías, un 50% de carbohidratos y un 30% de grasa.
Pongo en duda que el control del apetito sea el camino para adelgazar. Porciones pequeñas, pasar hambre, buscar alimentos con pocas calorías, tomar fibra para sentirse lleno/a, etc. son mensajes creados desde la óptica de que comer menos adelgaza. Y yo eso, no lo veo.





Los amantes del fitness y el culturismo utilizan lo que denominan «fase de definición». Para ello, todos los autores a los que he leído proponen crear un déficit calórico estratégico (para que el cuerpo utilice sus reservas) sin desechar los hidratos de carbono que, si bien se reducen junto con los otros macronutrientes, hacen recargas periódicas tanto para preservar cierto nivel glucógeno como para reducir el impacto de la hormona «leptina» y de la tiroides. Dicen que si se hace bien, se consiguen porcentajes de grasa coporal entre el 12 y el 15%, más que suficientes para que se vean los abdominales y se «marquen» más los músculos y la vascularidad. El objetivo final no es tanto la pérdida de peso como la de grasa corporal, y parece que les funciona (no se si ocultan algo).
¿Estás de acuerdo con ésto o puede tener otros condicionantes?
Un saludo.
Hola Jacs,
la parte más interesante de lo que cuentas, al menos para mí, es «les funciona». Si realmente así consiguen perder grasa, mantener el peso a largo plazo, tener un buen HDL, un buen nivel de triglicéridos, etc. lo único que se me ocurre es tratar de aprender cuáles son los mecanismos que hacen que funcione, pero no negar que lo haga. A mí me parece muy interesante escuchar lo que a la gente le funciona, como fuente de información más fiable en estos momentos que el mensaje de los «expertos» (por duro que parezca, es así).
Dicho lo cual, me gustaría ver estudios científicos que reflejen los resultados de esa forma de alimentarse.
Otra cosa positiva que veo en lo que planteas es: comer de forma que trates de evitar los efectos negativos a medio-largo plazo en tu metabolismo y hormonas. Quizá esas recargas periódicas sean una gran idea para conseguir ese objetivo en algunas personas o en la mayoría de nosotros. Y con eso quiero resaltar que lo erróneo es comer menos, sin tener en cuenta esos cambios.
Gracias por el aporte
Un saludo
Hola Jacs.
Esto que comentas claro que funciona. Casi siempre. Pero solo haciendo ejercicio anaeróbico de fuerza de forma constante, o sea pesas con pesos muy grandes al menos 3 veces por semana y contando muy muy bien los macronutrientes. Pero no es lo más efectivo del mundo. Se ha demostrado que es muy fácil equivocarse, ganar demasiada grasa en la fase de crecimiento previa (en la que con la excusa del entrenamiento y la hipertrofia se han tomado demasiados hidratos) y perder demasiado músculo en la fase de definición (por comer demasiado poco). Resultado: Acabas peor que empezaste, con más grasa y menos músculo en porcentaje.
Ya hay muchos entrenadores que recomiendan estar siempre bien, todo el año, centrarse en mejorar muy poco a poco comiendo LC los días que no se entrena y HC los días que sí, pero sin pasarse, contando muy bien los carbohidratos e ir subiéndolos progresivamente según se va observando si se engorda o no (midiendo contornos, grasa subcutánea con plicómetros…) Mucho más seguro a largo plazo y difícil que se vaya de las manos.
Gracias por vuestros comentarios.
Al final, lo que dejan claro estos autores es que tiene que haber un «déficit calórico» obligatorio (menos calorías ingresadas que las gastadas) para quitar grasa de los músculos o de la piel que los recubre; ésto lo hacen de manera temporal y con todas las técnicas que tiendan a minimizar problemas físicos y metabólicos. Quizá lo de «calorías in-calorías out» que defienden choque con los artículos en los que tratas sobre este tema, por eso quise saber tu opinión.
Citaré un autor (no creo que haya problemas por decirlo). He leido varios documentos elaborados por Marcos, de «Fitness Revolucionario», y en alguno que otro se analiza el tema de la definición o de la pérdida de grasa corporal, no sólo para el fitness. Este autor siempre cita estudios científicos en sus artículos.
Hola Jacs,
Fitness revolucionario es una fuente fantástica de información.
En pocas palabras lo que yo digo es que «come menos y muévete más» es inútil para adelgazar y no se deduce de las leyes de la termodinámica. Por ejemplo, es lo que digo en esta entrada. Pero no digo que alternando días de comer más con comer menos, y/o con distintas cantidades de carbohidratos no vayas a conseguir perder grasa o crear músculo. Yo sobre eso, para formarme una opinión, me iría a leer a Marcos, a ver qué dice él. Y ya de paso leería todo lo que ha escrito, que es muy interesante.