En respuesta a la restricción calórica nuestro cuerpo prioriza almacenar grasa en el tejido adiposo (5 de 6)
En esta parte del artículo voy a comentar resultados relacionados con una lipólisis intracelular reducida (dificultad para liberar la grasa atrapada en los adipocitos) y eficiencia muscular aumentada (síntoma de una menor tasa de oxidación de grasas en el tejido muscular) en personas que han bajado de peso con dieta hipocalórica. Sin ánimo de menospreciar su relevancia, no entraré a hablar de la hiperplasia del tejido adiposo, pues traté el tema en este otro artículo del blog.
Lipólisis reducida
«Prospective and controlled studies of the actions of insulin and catecholamine in fat cells of obese women following weight reduction«
Lipólisis reducida de forma importante en los post-obesos en comparación con individuos control que tienen la misma grasa corporal:
differences in lipolysis between controls and post-obese subjects were more pronounced than those between controls and the cases as a whole. Basal lipolysis was almost 60% lower in the post-obese state, and maximal isoprenaline lipolysis was about 50% lower among the post-obese than among their controls. The antilipolytic effects of insulin and lipogenesis were completely normalised in the post-obese.
Un dato interesante es el tamaño de los adipocitos en los post-obesos, comparado con los individuos control:
¿Por qué es eso relevante? Porque la lipólisis guarda relación con el tamaño de la célula grasa:
There is an apparent linear relationship between mean values for fat cell volume on the one hand and basal, isoprenaline, forskoline and dcAMPinduced lipolysis on the other hand.
En la gráfica se puede ver que la magnitud de la lipólisis por adipocito está reducida en los post-obesos (cuadrados blancos) respecto de los individuos control (círculos blancos) de una forma que en parte puede explicarse por el reducido tamaño de las células.

Los autores del estudio indican que la hiperplasia del tejido adiposo puede explicar la incapacidad (impotencia más bien) de los post-obesos para mantener un peso reducido, pues en tal caso lo que tendrían serían muchos más adipocitos que una persona delgada y por tanto más vacíos y propensos a llenarse, no a seguir vaciándose:
Bearing in mind the strong relationship between fat cell size and lipolysis, it is probable that the low rates of lipolysis seen in the weight-reduced subjects are secondary to the ‘too-small’ fat cells.
A major problem with the treatment of obesity is the frequent regain of lost weight after antiobesity therapy. The underlying mechanisms behind this phenomenon are not known. It is tempting to speculate that the low ability to mobilise fat from adipose tissue is secondary to adipose hypercellularity and that low lipolytic activity could, at least in part, explain the frequent relapse of body weight after weight reduction in obese individuals.
adipose tissue hyperplasia (many small fat cells) is present in the weight-reduced state and probably explains the low rates of adipocyte lipolysis in this condition.
«Hormone sensitive lipase expression and adipose tissue metabolism show gender difference in obese subjects after weight loss«
Un año después de bajar de peso, las mujeres tenían un cociente LPL/HSL (algo así como cociente lipogénesis/lipólisis que se puede interpretar como propensión a almacenar grasa corporal de forma neta) aumentado, pero no los hombres:
after 1 y weight loss, the ratio increased markedly in women, reaching the level of 4.0 (P < 0.028), whereas there was no change in men (2.7 after operation).

Eficiencia muscular
«Effects of experimental weight perturbation on skeletal muscle work efficiency in human subjects«
En este experimento la pérdida de peso indujo cambios en la eficiencia muscular que dificultan el mantenimiento del nuevo peso:
The major findings of the present study are that skeletal muscle work efficiency changes after weight loss or gain in a manner that opposes the maintenance of an altered body weight.
Y esos cambios se detectan con mayor facilidad cuando se realizan medidas a bajos niveles de actividad física:
these studies show that maintenance of an altered body weight is associated with in vivo changes in skeletal muscle work efficiency and fuel utilization that are most evident at low levels of muscle work.
En la gráfica vemos la reducción en el coste de energético de la actividad física para distintos niveles de intensidad. La gráfica indica que tras perder peso se gastan menos calorías para realizar el mismo esfuerzo físico. Las barras negras son la medida realizada cuando se fijan en los muslos masas que compensan la masa grasa perdida y vemos que sigue existiendo ese aumento de la eficiencia, luego la explicación no es que simplemente ahora tienen que mover un peso corporal menor:

El «síntoma energético» de estas adaptaciones fisiológicas es una reducción en el gasto energético que no se puede explicar con los cambios en la composición corporal. Perder 10 kg de peso no justifica una reducción en el gasto energético de 550 kcal/d.

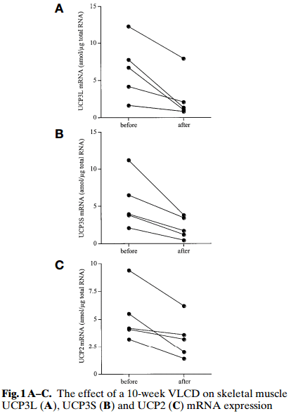
«Effects of Obesity and Stable Weight Reduction Effects of Obesity and Stable Weight Reduction on UCP2 and UCP3 Gene Expression in Humans«
En los post-obesos el músculo se hace eficiente: desperdicia menos energía en las proteínas desacopladoras UCP3. Los autores resaltan que este hecho podría tener como síntoma un gasto energético reducido en los post-obesos:
we provide evidence in two independent studies that UCP3 mRNA levels in skeletal muscle decline in individuals who are weight-stable at reduced body weight. Conversely, we show that UCP2 mRNA levels increase in skeletal muscle and adipose tissue of weight reduced individuals. The discordant regulation of UCP2 and UCP3 suggest the possibility of unique roles for these two mitochondrial proteins. Given that UCP3 is extremely abundant in skeletal muscle, an important site of energy expenditure in humans, and that UCP3 may be an uncoupler of mitochondrial respiration (15,16), it is possible that reduced UCP3 expression could be responsible, at least in part, for the decreased energy expenditure in stable weight-reduced individuals observed in other studies (56).

«Reduced expression of uncoupling proteins-2 and -3 in adipose tissue in post-obese patients submitted to biliopancreatic diversion«
Los cambios en el gasto energético total de los post-obesos guardaron relación con los cambios en la expresión de la UCP3:
In a multiple-regression analysis changes in 24-h EE/FFM after BPD were significantly correlated with changes in UCP-3 expression (P < 0.05)
Conclusion: These findings suggest that UCPs in adipose tissue may play a role in the reduction in 24-h EE observed in post-obese individuals.
«The effect of weight reduction on skeletal muscle UCP2 and UCP3 mRNA expression and UCP3 protein content in Type II diabetic subjects«
Al perder peso el contenido en proteína desacopladora UCP3 se redujo y lo hizo de forma relacionada con el cambio en el IMC, sugiriendo que la reducción de la UCP3 (aumento de la eficiencia muscular) puede estar relacionada con la paralización de la pérdida de peso:
The negative correlation between the change in UCP3 protein content after weight loss and the change in BMI, suggests that the decrease in UCP3 during weight loss could prevent further weight loss.

«Influence of expression of UCP3, PLIN1 and PPARG2 on the oxidation of substrates after hypocaloric dietary intervention«
Seis semanas de dieta hipocalórica (1200 kcal/d) y 8.4 kg perdidos. La eficiencia muscular aumentó (o equivalentemente se redujo el gasto energético del músculo), aparentemente por inactivación de la UCP3:

«Uncoupling protein-3 gene expression: reduced skeletal muscle mRNA in obese humans during pronounced weight loss«
Las mujeres que perdieron 37 kg con restricción de la comida y que siguieron con dieta hipocalórica tenían menos expresión genética de la UCP3 que mujeres obesas o delgadas. Los autores sugieren que esa reducción puede estar relacionada con el reducido gasto energético que se observa con un ayuno prolongado.
Women who had lost 37 ± 22 kg of weight in response to dietary restriction and continued a hypocaloric diet displayed lower mRNA than obese (p < 0.005) or lean women (p < 0.05).
The reduction in muscle UCP3 mRNA expression that occurred in our postobese patients could contribute to the reduced energy expenditure that has been reported after prolonged fasting
Resumen de lo visto
Intentando perder peso con restricción calórica:
- Se dificulta liberar grasa corporal (lipólisis intracelular reducida) algo que en parte podría estar motivado por un tamaño de adipocitos excesivamente reducido. En tal caso, este efecto sería inevitable en caso de que el intento de adelgazar lo realice una persona que tiene hiperplasia del tejido adiposo (i.e. excesivo número de adipocitos).
- Se reduce la actividad de la UCP3 o, en otras palabras, existe una mayor eficiencia del tejido muscular a la hora de aprovechar los sustratos disponibles. Este cambio podría estar relacionado con la observación de un gasto energético reducido en esas personas, pero a la vista de los posibles mecanismos fisiológicos implicados (ver), esa reducción de la actividad podría ser sólo un síntoma (y no una causa) de que el tejido adiposo tenga una mayor tendencia a acumular grasa.
Leer más:
- En respuesta a la restricción calórica nuestro cuerpo prioriza almacenar grasa en el tejido adiposo (1 de 6)
- En respuesta a la restricción calórica nuestro cuerpo prioriza almacenar grasa en el tejido adiposo (2 de 6)
- En respuesta a la restricción calórica nuestro cuerpo prioriza almacenar grasa en el tejido adiposo (3 de 6)
- En respuesta a la restricción calórica nuestro cuerpo prioriza almacenar grasa en el tejido adiposo (4 de 6)
- En respuesta a la restricción calórica nuestro cuerpo prioriza almacenar grasa en el tejido adiposo (5 de 6)
- En respuesta a la restricción calórica nuestro cuerpo prioriza almacenar grasa en el tejido adiposo (6 de 6)

Vicente! Cada vez que leo tus artículos más me convenzo que tengo metabolismo lento… Pero me pregunto, ¿Hay algún médico y/o estudio que pueda confirmarlo?
Hace un mes comencé con una nutri. Ya me cambio cuatro veces la forma de comer. Con todas subo 100 o 200 gramos… ella dice que es porque de origen animal solo consumo pescado y huevos y lo demás es verduras y frutas. Dejé las harinas. Creo que le estoy quemando los papeles y pronto me dirá que no puede hacer nada conmigo. No soy obesa, mido 1.58 y peso 61 kg pero tengo el 36.4% de grasa y 26.5% de músculo. Me veo inflada. Mis análisis de sangre dan dentro de rangos normales según mi médico. Pero entonces ¿Por qué asimiló hasta la lechuga?
Hola Andrea,
no sé dónde puedes conseguir ese tipo de diagnóstico.
¿Volviste a hacer deporte? (en un comentario anterior decías que querías, que lo habías dejado)
empecé a caminar hace un mes, justo cuando comencé con la nutri. tengo un problema en los pies y correr, que es lo que siempre hice, realmente me hace muy mal durante el ejercicio y luego de él….
quizas tenga que darle más tiempo a mi cuerpo… pero para mí, tal cual lo dicen tus artículos mi cuerpo está guardando todo en forma de grasa y no gastando nada… gracias, como siempre vicente!!!! seguiré leyendo…. gracias!!!
Hola Andrea,
se me ocurre que mientras tengas esas molestias en los pies pruebes con otro tipo de actividad física.
A ver si tienes suerte y das con la clave para quitarte esos kilos que te sobran. Aparte del ejercicio físico, que puede ser clave, algunos autores creen que limitar la cantidad de queso o frutos secos puede ayudar.
https://novuelvoaengordar.com/2015/03/27/que-hago-si-la-dieta-low-carb-no-me-funciona-para-perder-peso/
Probaste a hacer ejercicio de fuerza autocarga de alta intensidad en ayunas y dejar lácteos legumbres y todos los granos? Deberia servirte para acelerar tu metabolismo. Yo desde que vigile todo eso fue espectacular..ya no subo del 7% de mg..1’73/59 kg y mucha musculatura