En respuesta a la restricción calórica nuestro cuerpo prioriza almacenar grasa en el tejido adiposo (3 de 6)
Un tema de debate abierto en el mundo de la obesidad es por qué los obesos tras perder peso con dieta hipocalórica recuperan a largo plazo lo perdido. A pesar de la evidencia científica de que el cuerpo se defiende de esa pérdida de peso (por la propia pérdida de peso, por estar sometido a escasez de alimento o por lo que sea), hay quien niega la existencia de esa respuesta o la desprecia argumentando que no tiene consecuencias relevantes.

El objetivo de este artículo en su conjunto es poner sobre la mesa evidencia científica que detalla cómo el hecho de perder peso forzando el hambre produce, entre otras, las siguientes adaptaciones fisiológicas:
- Aumenta la actividad de la LPL (más facilidad para la entrada de triglicéridos en los adipocitos)
- Se reduce la lipólisis intracelular (menos facilidad para perder grasa corporal)
- Se reduce la tasa de oxidación de grasa (la grasa no quemada quedará en el torrente sanguíneo y aumenta la probabilidad de que sea almacenada cuando de nuevo suba la insulina)
- En determinados casos adelgazar se conseguirá a costa de una reducción excesiva del tamaño de los adipocitos (por hiperplasia del tejido adiposo), lo que a su vez puede ser causa de 1) y 2)
- Aumenta la eficiencia muscular: se hace el mismo ejercicio gastando menos sustratos (ver,ver)
Todos esos cambios promueven/facilitan la recuperación de la grasa corporal. Y, como veremos, así lo concluyen los propios autores de gran parte de los experimentos científicos que voy a citar.
La dimensión del problema
Imaginemos la siguiente situación: has perdido algo de peso (e.g. 8 kg, que sería lo típico con dieta hipocalórica) pero ese proceso ha cambiado tu fisiología de forma que tu tejido graso ahora busca recuperar la grasa perdida. En las comidas, unos 5 gramos diarios (¡es un gramo por comida!) se almacenan en el tejido adiposo y tu cuerpo dispone de unos gramos menos para realizar sus funciones. No te va a pasar nada, no te estás muriendo de hambre por esa razón, pues para cubrir tus necesidades es sencillamente como si en la comida hubieras ingerido un gramo menos de grasa dietaria. Cinco gramos diarios te harían ganar unos 2 kg cada año, con lo que a ese ritmo en 4 años habrías vuelto al peso de partida. ¡Y apenas son unos gramos al día! Aunque ese ritmo de recuperación del peso perdido se atenuase con el tiempo, te encontrarías al cabo de 3-4 años con unos 3-4 kilos perdidos respecto del punto de partida, con lo que tu esfuerzo por adelgazar habría sido recompensando con un fracaso.
Desde el punto de vista de las calorías el síntoma sería que tu cuerpo gasta 50 kcal/d menos de lo previsto. No hace falta un efecto mayor. Pero no estarías engordando porque se ha reducido el gasto energético: el gasto energético estaría un poco reducido porque estarías recuperando el peso perdido.
¿Suena poco razonable? ¿Parece una situación extrema que es fisiológicamente imposible?
Más que el hecho de que la realidad sea como estoy describiendo, lo que me interesa es el hecho de que es posible que sea así: son necesarios estudios a largo plazo con participantes obesos que pierden peso y en los que la ingesta esté absolutamente controlada, para determinar qué está pasando en la realidad. De otro modo, seguiremos en la situación actual en la que lo que se nos dice a los obesos es que la reacción fisiológica no existe o que es poco importante y que, por tanto, la culpa de recuperar el peso perdido es nuestra (ver,ver).
¿Es posible que el efecto no exista o que sea poco importante? Sí, pero sólo es eso, una posibilidad. También es posible que al perder peso con la dieta equivocada nuestro cuerpo reaccione haciéndose más eficiente a la hora de almacenar grasa. Y a la vista de la evidencia científica que voy a presentar en este artículo, yo creo que las dudas desaparecen.
La LPL (LipoProteína Lipasa)
After weight loss, there is an increased production of the enzyme lipoprotein lipase that breaks down dietary fats and readies them for storage as body fat. «These patients would appear poised to regain weight as a result of the increased lipoprotein lipase activity,» said Dr. Thomas A. Wadden, an obesity specialist at Syracuse University. (fuente)
Tras la pérdida de peso hay una producción aumentada de la enzima lipoproteína lipasa que rompe las grasas dietarias y las prepara para ser almacenadas como grasa corporal. «Estos pacientes parecían estar listos para recuperar el peso como resultado de una actividad incrementada de la lipoproteína lipasa«, dijo el Dr. Thomas A. Wadden, un especialista en obesidad de la Syracuse University
Cuando comemos, la grasa ingerida viaja hasta las cercanías del tejido adiposo contenida en lipoproteínas (ver,ver). Allí, la lipoproteína lipasa (LPL) saca los triglicéridos de esas lipoproteínas y los ácidos grasos libres resultantes pueden ser absorbidos por los adipocitos para esterificarlos como triglicéridos dentro de esas células.

LPL is the most critical step for the provision of lipid substrate and has been described as the ‘‘metabolic gatekeeper’’ (Greenwood 1985). (fuente)
La LPL es la etapa más crítica en el abastecimiento de sustrato lipídico y ha sido descrita como la llave metabólica.
NOTA: hablamos de LPL del tejido adiposo por lo que en las gráficas y textos citados puede aparecer como AT-LPL.
Experimentos científicos relacionados con la LPL en personas que han perdido peso
«Potential Role of TNFa and Lipoprotein Lipase as Candidate Genes for Obesity«
Tras perder peso, la LPL puede estar más activa que cuando se es obeso y mucho más que en una persona delgada:
adipose tissue LPL is increased in hyperinsulinemic obese subjects (Eckel 1989). However, when obese subjects lost weight and became less hyperinsulinemic, adipose LPL increased further (Kern et al. 1990, Schwartz and Brunzell 1981). (fuente)

Nótese que no está más activa porque ahora nuestro peso corporal es menor: está más activa que en una persona delgada. Esto es realmente importante porque actualmente se está acusando a los obesos de recuperar el peso perdido porque comen más de lo que toca para su nuevo peso corporal.
Y aunque los autores del artículo nos sueltan la burrada de que no se recuperaría peso si no hay «exceso calórico» (¡qué fuerte es esto, de verdad!), me quedo con que nos dicen que esta activación de la LPL inducida por la dieta hipocalórica podría facilitar la recuperación del peso perdido en personas obesas que han bajado de peso:
Although the high level of LPL in reduced-obese subjects would not by itself lead to weight regain, it would facilitate adipocyte lipid accumulation from circulating chylomicrons and VLDL in the face of relatively mild energy excess. Therefore, these data suggest that adipose tissue LPL activity may represent an adipocyte set point that is induced by a hypocaloric diet.
Vamos a ver este mismo comentario una y otra vez: los cambios fisiológicos de los que hablamos pueden explicar el efecto rebote típico de la dieta hipocalórica.
«Responses of adipose tissue lipoprotein lipase to weight loss affect lipid levels and weight regain in women«
En este experimento, aquellas mujeres cuya LPL más se incrementó al bajar de peso fueron las que más peso recuperaron. Y además existió esa relación por zonas del cuerpo. Lo veo muy relevante: sabemos que hay mecanismo fisiológico que lo explica y en tal caso lo lógico es suponer una relación causa-efecto:
Changes in LPL activity were not related to the initial degree of obesity or to the total amount of body weight or adipose tissue lost; rather, changes in regional fat mass were related to regional changes in adipose tissue LPL activity. Specifically, changes in waist and hip circumferences and in abdominal visceral and subcutaneous fat areas were directly related to changes in ABD LPL activity, whereas changes in hip circumference and abdominal subcutaneous fat area were related to changes in GLT LPL activity. This suggests that changes in body fat distribution are, in part, related to changes in regional adipose tissue LPL activity and supports previous findings that regional differences in fat deposition correlate with regional differences in LPL activity (11, 26, 28).
Los autores del artículo ven claro que la elevación de la LPL es uno de los mecanismos subyacentes en la recuperación del peso en las personas que han adelgazado:
Although it is postulated that a high adipose tissue LPL activity, leading to increased efficiency of energy storage, is an underlying mechanism for the commonly observed weight regain after weight loss (10, 14, 18, 34), to our knowledge, this is the first study to show such a relationship in humans. Our finding of a greater weight regain in women whose adipose tissue LPL increased with weight loss is consistent with a previous finding that a high initial fasting adipose tissue LPL activity predicts a greater weight gain in women who stop smoking
«Weight Reduction Increases Adipose Tissue Lipoprotein Lipase Responsiveness in Obese Women«
En la siguiente gráfica (fuente) se observa el cambio en la sensibilidad a la insulina de la LPL del tejido adiposo en respuesta a una comida mixta, en participantes que habían perdido peso y que llevaban tres meses manteniéndolo. Barra blanca cuando eran obesas, barra rayada tras 3 meses de mantenimiento del nuevo peso. Im-pre-sio-nan-te.

Y los autores sugieren que estos cambios fisiológicos están detrás de la recuperación del peso perdido en las personas obesas que adelgazan:
the increase in responsiveness of ATLPL to insulin and glucose, and mixed meals after a 14% weight reduction and 3 month of isocaloric stabilization points to a potential role of the lipase in the resumption of the obese state, which so commonly follows weight reduction.
La respuesta de la LPL a los niveles de insulina está claramente aumentada en los individuos post-obesos («after» en la gráfica):

En una mujer obesa, tener los adipocitos bien llenos de grasa se explicaría por niveles elevados de la LPL en ayunas en el tejido adiposo:
the maintenance of excessive fat cell size in obese women appears to be accomplished primarily by the elevated levels of fasting ATLPL. The failure of ATLPL to increase further in the setting of relative hyperinsulinemia is likely an appropriate response of adipose tissue to further limit triglyceride loading.
«Increased adipose tissue lipoprotein lipase activity during the development of the genetically obese rat (fa/fa)«
Experimento en ratas, pero creo que viene a cuento. En la siguiente gráfica se puede observar cómo en ratas Dawley, conforme crecen, el aumento en la actividad de la LPL precede al aumento de tamaño de los adipocitos, lo que sugiere un papel causal de esa actividad en el engorde de esos adipocitos:
it is reasonable to suggest that the increased LPL seen in the obese rat until 13 wk of age is a significant contributory factor to the continuing, persistant fat cell hypertrophy.
Los autores del artículo resaltan que, además, posteriormente en la vida de esos animales hay una buena correlación entre LPL y tamaño de adipocitos
Fat cell size does not begin to increase significantly until after this early elevation of LPL, but later in life there is a good correlation between increased fat cell size and increased LPL per fat cell
O sea que es complicado tener adipocitos sin mucha grasa cuando tienes hiperactiva la «llave metabólica» que introduce grasa en dichas células.
«Increase of Adipose Tissue Lipoprotein Lipase Activity with Weight Loss«
Vuelvo a los humanos. En este estudio se encuentra que la actividad del LPL por célula guarda relación con el peso corporal (%IBW es el peso de los participantes expresado como porcentaje del peso ideal). Más LPL, más peso corporal:

«The Effects of Weight Loss on the Activity and Expression of Adipose-Tissue Lipoprotein Lipase in Very Obese Humans«
Mismo resultado que antes, detallando una relación entre IMC y actividad de la LPL.

La actividad y expresión de la LPL puede causar almacenamiento de grasa corporal:
Although lipoprotein lipase may not be the sole determinant of the accumulation of lipids in adipocytes in obese humans, the increase in the activity and expression of lipoprotein lipase may facilitate the storage of fat and perhaps lead to increased eating as well.
«INCREASED ADIPOSE-TISSUE LIPOPROTEIN-LIPASE ACTIVITY IN MODERATELY OBESE MEN AFTER WEIGHT REDUCTION«
En este otro artículo se puede comprobar cómo tras bajar de peso (puntos negros en el rectángulo rojo) la actividad de la LPL está claramente aumentada respecto de individuos control de similar %IBW (puntos blancos en rectángulo azul):

Insisto nuevamente en algo realmente importante: la gráfica dice que tras la restricción calórica la LPL está más activa que en personas del mismo peso que no han adelgazado. Y los autores sugieren que esta desproporcionada activación de la LPL puede estar detrás de la recuperación de la grasa corporal en las personas que han adelgazado, haciendo que sus células grasas recuperen el tamaño que tenían en el estado obeso:
L.P.L. activity in the men after weight reduction was even higher than would have been predicted from their maximum weight. This additional increase in L.P.L. activity may reflect an attempt to restore fat-cell size to that present in the obese state.
«Postabsorptive VLDL-TG Fatty Acid Storage in Adipose Tissue in Lean and Obese Women«
Al igual que hemos visto en ratas, en humanos también se encuentra una relación entra la actividad de la LPL y el tamaño de las células grasas, además de forma individualizada por depósito de grasa:
Fat cell size in abdominal fat correlated significantly with abdominal LPL-activity per 10E9 adipocytes (r=0.45; p<0.02). Similarly, femoral fat cell size correlated significantly femoral LPL-activity per 10E9 adipocytes (r=0.54; p<0.01).
En este experimento los autores inyectaron VLDL marcado con carbono 14 en los participantes y observaron en qué proporción esos triglicéridos eran almacenados en el tejido adiposo. Los niveles de insulina en sangre estuvieron claramente relacionados con la cantidad de triglicéridos almacenados, algo que según los autores era de esperar:
VLDL-TG FA storage rate per kg lipid was significantly determined by fasting plasma insulin in both abdominal and femoral fat […] Insulin is a well known stimulator of both hepatic VLDL-TG production and adipose tissue LPL-activity and therefore it is not unexpected that insulin proved to be significantly related with VLDL-TG FA storage rate.
Es decir, que niveles altos de insulina en sangre estuvieron asociados con un mayor engorde por kilo de grasa corporal.
“Prolonged Effects of Fasting-Refeeding on Rat Adipose Tissue Lipoprotein Lipase Activity: Influence of Caloric Restriction during Refeeding“
Otro resultado en ratas que ya vimos en el blog (ver) es que la restricción calórica redujo la actividad de la LPL a corto plazo, pero la aumentó a medio plazo, aun cuando se mantuvo la restricción calórica (porcentaje de la ingesta normal indicado en la gráfica):

Repito: a corto plazo se perdió grasa y la LPL se redujo, pero manteniendo la restricción calórica la fisiología cambió y la LPL aumentó y se recuperó grasa corporal a pesar de mantener la restricción calórica. ¡De eso estamos hablando! Si fueran humanos les diríamos que lo que pasa es que comen más de lo que dicen y que no pueden estar acumulando grasa si comen tan poco como afirman.
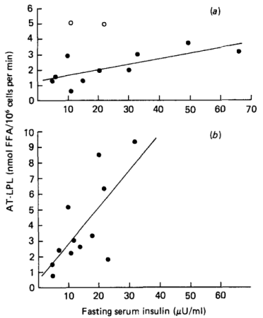
«Diet composition and lipoprotein lipase (EC 3.1.1.34) activity in human obesity«
Experimento en humanos. Los autores detectaron un aumento de la actividad de la LPL en la fase de mantenimiento de peso, pero el aumento no les pareció significativo (en distinto color para dos dietas diferentes, respecto del nivel de partida, línea de color negro):

Detectaron además una mayor sensibilidad de la LPL a la insulina, algo que hemos visto antes en otro artículo:
the correlation between AT-LPL activity and serum insulin was r 0.71 (P < 001) and the slope increased to 0.23. This line includes the two individuals who were ‘outliers’. This could suggest a change in the sensitivity of AT-LPL activity to insulin with weight loss.
Sensibilidad de la LPL a la insulina antes de perder peso (a) y después de perder peso y mantenerlo dos semanas (b):

Y concluyen que esos cambios en la actividad de la LPL parecen buscar recuperar el nivel previo a la pérdida de peso de tamaño de adipocito, es decir, recuperar el peso perdido:
Therefore, AT-LPL activity may change to regulate fat cell size to the preset level, whether this level is obese or normal. The factors determining this preset level and signals affecting AT-LPL activity have yet to be determined.
Resumen de lo visto
Perder peso con restricción calórica:
- Aumenta la actividad de la LPL (específicamente aumenta su respuesta ante la insulina) lo que puede explicar, al menos en parte, la recuperación de la grasa perdida
- El cambio en la LPL no se explica por el nuevo peso
Leer más:
- ¿Sabemos perder peso?
- En respuesta a la restricción calórica nuestro cuerpo prioriza almacenar grasa en el tejido adiposo (1 de 6)
- En respuesta a la restricción calórica nuestro cuerpo prioriza almacenar grasa en el tejido adiposo (2 de 6)
- En respuesta a la restricción calórica nuestro cuerpo prioriza almacenar grasa en el tejido adiposo (3 de 6)
- En respuesta a la restricción calórica nuestro cuerpo prioriza almacenar grasa en el tejido adiposo (4 de 6)
- En respuesta a la restricción calórica nuestro cuerpo prioriza almacenar grasa en el tejido adiposo (5 de 6)
- En respuesta a la restricción calórica nuestro cuerpo prioriza almacenar grasa en el tejido adiposo (6 de 6)

Si es cierto que “comer menos” NO adelgaza, ¿cómo es que nadie nos lo dice?
la estrategia de culpar a la víctima es algo que los educadores en salud deberían evitar, ya que es probable que no tenga más efecto que la asignación de más culpa, remordimiento, vergüenza y desesperación en los niños obesos y sus padres
Prevención de la obesidad infantil: “no hacer daño es lo principal”, especialmente si es de forma no solicitada a los hijos de otros
https://twitter.com/Mamimaravilla/status/924078348279730176
Creo que es lo que me está sucediendo. Aún manteniéndome fiel a una low carb, cada vez veo que mi peso aumenta más, y lo noto en mi ropa. Lo que pasa es que hace un año que llevo esta dieta, y antes, estaba con restricción calórica. Ahora no sé cómo detener el muy probable efecto rebote. Un saludo Vicente y gracias por todo el maravilloso contenido que compartes en tu blog.
Hola Lore,
ante todo no desesperes: ninguno tenemos las respuestas y lo único que debemos exigirnos es intentar las cosas. No hay garantía de que los resultados vayan a llegar.
Gracias a ti por leer el blog 🙂