En respuesta a la restricción calórica nuestro cuerpo prioriza almacenar grasa en el tejido adiposo (4 de 6)
¿Qué voy a comentar en esta parte del artículo? Un experimento en el que se confirma lo que ya sabemos (ver), que perder peso produce cambios hormonales a largo plazo que persisten incluso cuando ya hemos recuperado prácticamente todo el peso perdido. Y a continuación algunos estudios que detallan que una persona que ha perdido peso con dieta hipocalórica tiene una menor disposición a oxidar la grasa dietaria que una persona de su mismo peso que nunca ha engordado. Reitero: en comparación con una persona del mismo peso que nunca ha engordado. Y vamos a ver que algunos experimentos indican que si la grasa dietaria supera la —entonces reducida— capacidad de oxidación, esa grasa se puede almacenar al margen de las calorías que se estén ingiriendo. Así lo van a decir los autores de esos estudios. Es decir, durante la recuperación del peso perdido no se recuperaría grasa corporal «porque te pasas con las calorías», sino porque tu cuerpo fomenta la recuperación de grasa corporal. Para mí es importantísimo el detalle, pues uno de los grandes fraudes de la teoría del balance energético es inventar con las palabras una causalidad para la primera ley de la termodinámica (ver,ver,ver).
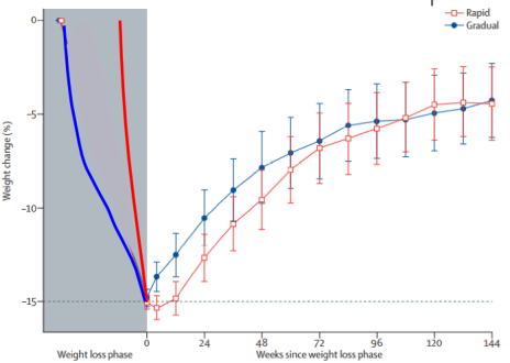
«The effect of rate of weight loss on long-term weight management: a randomised controlled trial«
Experimento en humanos. Dos grupos dietarios que han reducido su peso corporal en un 15%, unos en menos tiempo (curva roja) y unos en más tiempo (curva azul). Como vemos, al cabo de unos tres años la pérdida de peso no llega al 5% del peso inicial. Es decir, fracaso en ambas modalidades de pérdida de peso.

Y es el resultado obtenido por participantes «escogidos»: aquellos que en la fase en gris han logrado perder un 15% de su peso corporal. Eso maquilla el resultado y lo hace parecer mejor de lo que realmente es.
Nótese en la gráfica que pongo un poco más abajo cómo a pesar de haber recuperado prácticamente todo el peso perdido, los niveles de ghrelina y leptina siguen elevados respecto del punto de partida al cabo de 3 años. También hay más hambre que antes de iniciar la pérdida de peso:
Our findings show that physiological adaptations encouraging weight regain, such as a rise in ghrelin concentration and hunger, persist for at least 3 years, even after most of the lost weight has been regained. Additionally, participants maintaining a substantial weight loss (eg, weight regain of <25% at the end of the trial) had a persistent reduction in fasting leptin concentration. By contrast, in individuals who regained most or all of their lost weight, mean leptin concentrations were higher at the end of phase 2 than at baseline.

¿Perder peso pasando hambre cambia nuestra fisiología? Sí, lo hace.
Experimentos que confirman una menor inclinación a quemar la grasa dietaria tras perder peso
«Substrate utilization during exercise in formerly morbidly obese women«
Según los datos de este experimento, tras perder peso el cociente respiratorio (ver) está aumentado y la oxidación de grasa está reducida, en comparación con sujetos control de comparable peso y composición corporal. Barras blancas en comparación con las negras, mostrándose datos para dos niveles de actividad física:
These data suggest that lipid oxidation is depressed during physical activity in WL [morbidly obese women after weight loss]. This defect may, at least in part, contribute to a propensity for the development of morbid obesity

Comes la misma comida tienes los mismos niveles de actividad física, pero tras perder peso tu cuerpo no quiere quemar grasa, quiere almacenarla:
despite similar diet and activity levels, WL subjects still oxidized proportionally less lipid
Pero la «experta» te dirá que tienes que ser honesta reconociendo que has comido más de lo que dices…
«The defence of body weight: a physiological basis for weight regain after weight loss«
Un par de extractos sacados de este artículo:
A number of human studies have also demonstrated that weight-stable formerly obese subjects have lower fasting or 24-h rates of fat oxidation compared with matched control subjects, or an impaired ability to appropriately increase fat oxidation in response to a high-fat diet
the compensatory adaptations to weight loss lead to a reduction in energy expenditure and increased propensity to fat storage
Una serie de estudios humanos también han demostrado que post-obesos con peso estable tienen un menores tasas de oxidación de grasa en ayuno o en 24h en comparación con sujetos de control de similar peso, o una capacidad deteriorada para aumentar adecuadamente la oxidación de grasa en respuesta a un dieta alta en grasas
las adaptaciones compensatorias a la pérdida de peso conducen a una reducción del gasto energético y al aumento de la propensión al almacenamiento de grasas
Bueno, pseudociencia del balance energético en acción: no recuperas grasa corporal porque recuperas grasa corporal, sino porque se reduce tu gasto energético y ese cambio actúa según la ecuación matemática del balance energético para que recuperes grasa corporal. Es deplorable que esta basura pseudocientífica se esté publicando en revistas —supuestamente— científicas.
En cualquier caso, respecto de la reducida capacidad para lidiar con una dieta alta en grasa, recomiendo leer este artículo del blog.
«Decrease in Fat Oxidation Following a Meal in Weight-Reduced Individuals: A Possible Mechanism for Weight Recidivism«
Nótese cómo tras la pérdida de peso la tasa de oxidación de grasas está reducida, tanto en reposo (barras negras) como tras una comida (barras blancas):

Y los autores del artículo comentan que esta reducida tasa de oxidación de grasas puede minar el intento de mantener el peso perdido, pues la probabilidad de que la grasa dietaria acabe almacenada y no oxidada es mayor:
The postprandial decrease in fatty acid oxidation that occurred following weight loss could potentially affect maintenance of body weight. Whenever one overeats fat, the likelihood that it will be stored rather than oxidized is enhanced. As long as one remains in energy balance, weight recidivism will not occur, but the scales seem tipped in favor of weight regain.
Los participantes ni siquiera habían llegado a delgados:

«Failure to increase lipid oxidation in response to increasing dietary fat content in formerly obese women«
La gráfica muestra el cociente entre la oxidación de grasa y carbohidratos frente al cociente entre la ingesta de grasa y carbohidratos. Con línea discontinua para los post-obesos, en línea continua para los sujetos control. Estar por debajo de la línea roja es indicativo de que se puede estar acumulando grasa corporal, algo que no sucede en ningún momento en los sujetos control, pero que sucede en los post-obesos a poco que aumente el consumo de grasa dietaria:

Visto de otra forma quizá más clara en la siguiente gráfica, aumentar la grasa dietaria era engordante a partir de cierto porcentaje del total de la comida en los post-obesos (línea roja por encima del nivel cero), pero no en los participantes control (línea azul), ¡que tenían mismo peso y misma composición corporal!

![]()
Es increíble que sigamos culpando a las víctimas, a los obesos, de que recuperan el peso perdido argumentando que no pueden tener la boca cerrada.
The postobese and control subjects were well matched with respect to body weight and body composition
Independent of energy balance, an increase in dietary fat content to 50% fat energy results in preferential fat storage, impaired suppression of carbohydrate oxidation, and reduction of 24-h EE in postobese women.
That the obesity promoting effect of a high-fat diet is especially pronounced in susceptible individuals, where weight gain eventually may progress to obesity, may be explained by the finding that the postobese preferentially channeled the ingested fat to the stores.
Engordar independientemente del balance energético… ¡vaya tela!
«Energy metabolism in weight-stable postobese individuals«
Mayor cociente respiratorio (es decir menor tasa de oxidación de grasas) en post-obesos comparados con sujetos control que tienen la misma composición corporal que los post-obesos:
The RQ was significantly elevated in the postobese compared with control subjects over 24 h and during sleep, 10 h postprandial
The most interesting finding from our study, however, is that postobese individuals had significantly lower rates of fat oxidation (higher RQ) both during sleep and over 24 h.

«Low Plasma Leptin Concentration and Low Rates of Fat Oxidation in Weight-Stable PostObese Subjects«
Tasa de oxidación de grasas reducidas en post-obesos en comparación con sujetos control de la misma composición corporal.

Los autores resaltan que esto podría explicar la tendencia a recuperar el peso perdido:
The low fat oxidation and low plasma leptin concentrations observed in post-obese individuals may, in part, explain their propensity to relapse
«Fat oxidation, body composition and insulin sensitivity in diabetic and normoglycaemic obese adults 5 years after weight loss«
Tasa de oxidación de grasas reducida tras perder peso, en comparación con antes de perder peso:
At 5 y, basal fat oxidation was significantly lower compared to prediet in both NGT and DM groups (0.4570.19 vs 1.1670.14 mg/min/kg fat-free mass (FFM), P ¼ 0.03; 0.6970.21 vs 0.1770.10 mg/min/kg FFM, P ¼ 0.03 respectively).
Las barras negras son la oxidación en reposo de grasa antes y después de perder peso:

Nótese que los participantes de este estudio al cabo de 5 años tenían más grasa corporal que antes de iniciar la dieta:

No sólo no han adelgazado, no sólo tienen más grasa corporal que antes de hacer dieta, sino que además habiendo recuperado todo lo perdido, y más, con la dieta hipocalórica han perdido flexibilidad metabólica. ¡Viva la dieta hipocalórica! ¡Viva los expertos en obesidad!
Basal CHO oxidation was increased at 5 y compared to prediet in both groups
lower fat oxidation during fasting may be a key mechanism leading to excess lipid accumulation within skeletal muscle which has been associated with insulin resistance. Our longitudinal study shows that reduced basal fat oxidation can be an acquired, rather than a primary, defect or at least may become more pronounced.
Metabolic inflexibility developed longitudinally in both NGT and diabetic obese humans.
«Effects of experimental weight perturbation on skeletal muscle work efficiency, fuel utilization, and biochemistry in human subjects«
Un síntoma de una menor tasa de oxidación de grasa es que el músculo es más eficiente con los sustratos que tiene a su alcance. Es capaz de hacer el mismo ejercicio físico que una persona delgada, pero gastando menos sustratos. Los autores de este artículo comentan que los cambios en el peso corporal están asociados a cambios en la eficiencia muscular que buscan recuperar la grasa corporal perdida:
Increasing muscle efficiency during low-level exercise combined with an increased propensity to store ingested calories as fat would function coordinately to favor the regain of lost adipose tissue.
These studies demonstrate that maintenance of an altered body weight is associated with concordant in vivo and in vitro changes in skeletal muscle fuel utilization and work efficiency that favor the return to preperturbation levels of energy stores.
Los autores del estudio creen que la pérdida de peso redujo la capacidad del músculo esquelético para usar glucosa como sustrato, sin alterar la capacidad para quemar ácidos grasos (cuya oxidación aumentó de forma relativa respecto de la glucosa, pero no en términos absolutos):
Our in vitro analyses of enzyme activities in vastus lateralis muscle indicate that the relative increase in fatty acid oxidation at low levels of muscle power output following weight loss is due to a decrease in the capacity of skeletal muscle to oxidize glucose rather than to an increase in muscle capacity to oxidize fatty acids.
«Energy metabolism in weight-stable postobese individuals«
Una cita de este artículo:
These results suggest that postobese individuals have low rates of fat oxidation that may explain their propensity to regain weight.
Estos resultados sugieren que los post-obesos tienen bajas tasas de oxidación de grasa lo que podría explicar su tendencia a recuperar el peso perdido.
«Twenty-Four Hour Total and Dietary Fat Oxidation in Lean, Obese and Reduced-Obese Adults with and without a Bout of Exercise«
La gráfica muestra una reducción de la oxidación de grasa (y aumento de la de carbohidratos) por unidad de masa no grasa en post-obesos sedentarios, en comparación con obesos y delgados. Sin embargo, esa reducción no es tan acusada en post-obesos que afirman ser activos físicamente (Red-EX).

«Skeletal muscle fatty acid metabolism in association with insulin resistance, obesity, and weight loss«
Tras perder unos 15 kg y mantenerlos durante un mes, las tasas de absorción de ácidos grasos y de oxidación de grasas en el músculo esquelético estaba muy reducida respecto del estado de obesidad y respecto de individuos delgados.
Two changes that did occur in muscle fatty acid metabolism after weight loss were that insulin infusion stimulated a significant rise in leg RQ (compared with fasting values) and a significant suppression of fat oxidation, and there was an overall increase in muscle attenuation values on CT imaging. Furthermore, after weight loss, rates of fatty acid uptake during insulin- stimulated conditions were nearly equivalent to rates of fat oxidation, whereas the rate of fat oxidation had exceeded fatty acid uptake during insulin infusions before weight loss.
Comparación entre obesos y delgados (nótese las tasas de oxidación de ácidos grasos en los delgados, alrededor de 158):

Antes y después de perder peso (nótese la tasa de oxidación de ácidos grasos y compárese con el 158 de los sujetos control delgados en la tabla anterior):

«Energy metabolism after 2 y of energy restriction: the Biosphere 2 experiment«
Experimento interesante por estar la ingesta absolutamente controlada. Los participantes están confinados en unas instalaciones durante dos años. Durante ese tiempo se abastecen de lo que en las propias instalaciones se produce pero por imprevistos acaba habiendo escasez de alimento y adelgazan. No entro en detalle porque ya analicé ese experimento en el blog (ver). Lo que quiero resaltar ahora es que tras haber perdido unos kilos y mantener lo perdido durante año y medio, el cuerpo de estas personas tenía una tasa de oxidación de grasa mucho menor que la de individuos control de su mismo peso. Y ese cambio fisiológico todavía estaba presente cuando los participantes ya habían recuperado todo el peso perdido seis meses después de acabar el experimento y de salir de esas instalaciones.

Un síntoma de esos cambios fisiológicos fue una reducción del gasto energético, síntoma que persistía una vez el peso perdido ya había sido recuperado.
«Evidence for an abnormal postprandial response to a high-fat meal in women predisposed to obesity«
Los autores explican que si se tiene una tasa de oxidación de grasa reducida eso puede manifestarse a largo plazo en acumulación de grasa corporal:
In the prevention of obesity, it is particularly important that fat oxidation is at a level at or above the fat content in the diet (20, 41, 44). The decreased fat oxidation in postobese could therefore be of even greater importance in the long-term fat balance and consequently weight regulation in these subjects (5, 36, 40).
En el estudio se comparan 12 mujeres que han bajado de peso con dieta y que lo han mantenido al menos 3 meses con 12 mujeres control que tienen misma edad, peso, altura, grasa corporal, etc.
Subjects. Twelve healthy normal-weight postobese women( PO) and 12 controls closely matched for age, weight, height, fat mass, lean body mass (LBM), and waist-to-hip ratio
Como vemos en la tabla, la tasa de oxidación de grasa de las participantes post-obesas (PO) estaba reducida respecto de las participantes control (C) en el periodo postprandial:

Los autores concluyeron que lo encontrado era un patrón hormonal y metabólico favorecedor de la acumulación de grasa corporal ante una comida alta en grasa:
a metabolic and hormonal pattern favoring lipid storage was observed in postobese subjects after a high-fat meal.
Resumen de lo visto
Tras perder peso con restricción calórica:
- La tasa de oxidación de grasa está reducida, lo que podría explicar, en parte, la recuperación del peso perdido
- El cambio en la tasa de oxidación de grasas no se explica por el cambio en la composición corporal, pues está por debajo de la de sujetos control con la misma composición corporal del post-obeso
- Una tasa de oxidación de grasa reducida puede producir acumulación de grasa corporal que el balance energético no explica
Quizá síntoma de una fisiología que busca recuperar la grasa corporal, quizá de alguna forma causa de esa recuperación. En cualquier caso, evidencia de cambios fisiológicos que se producen al intentar adelgazar con restricción calórica.
- En respuesta a la restricción calórica nuestro cuerpo prioriza almacenar grasa en el tejido adiposo (1 de 6)
- En respuesta a la restricción calórica nuestro cuerpo prioriza almacenar grasa en el tejido adiposo (2 de 6)
- En respuesta a la restricción calórica nuestro cuerpo prioriza almacenar grasa en el tejido adiposo (3 de 6)
- En respuesta a la restricción calórica nuestro cuerpo prioriza almacenar grasa en el tejido adiposo (4 de 6)
- En respuesta a la restricción calórica nuestro cuerpo prioriza almacenar grasa en el tejido adiposo (5 de 6)
- En respuesta a la restricción calórica nuestro cuerpo prioriza almacenar grasa en el tejido adiposo (6 de 6)
Mis sospechas, acerca de la grasa corporal, quedaron plenamente confirmadas, ahora bien, ¿que podemos hacer nosotros los post-obesos ante este panorama? En el artículo (excelente por cierto), se hace mención a la flexibilidad metabólica, supongo que acostumbrar al cuerpo a quemar las grasas (con mínimo aporte de carbohidratos obviamente), ayuno intermitente, con algún día de carga de carbohidratos, tipo tubérculos sobre todo, y también estoy pensando en la l-carnitina, alternar ejercicio físico, de resistencia con series de levantamiento de pesos, ¿por ahí puede estar la prevención ante este punto que plantea el artículo?
Igual que Orlando, mi duda está en si esta adaptación es para cualquier post obeso o solo para los que han «sufrido» restricción de calorías. Y claro, como revertir o compensar esa adaptación.
Hola Orlando y Miguel,
por culpa de la teoría del balance energético casi todo lo que se intenta en los experimentos científicos está orientado a la restricción calórica (y de hecho los muy cazurros de los caloréxicos hasta han publicado un artículo ¡pidiendo que se dejen de probar otras opciones!), por lo que estamos hablando de los resultados de intentar adelgazar con dieta hipocalórica. Es la dieta que se sabe que no funciona.
Pero algunos de los cambios que se producen al engordar pueden no ser reversibles ni siquiera empleando otras dietas, como sucede con la hiperplasia del tejido adiposo. No parece que se pueda reducir el número de células grasas una vez ha aumentado. Y la hiperplasia puede ser más fácilmente inducida en las etapas de crecimiento. ¿En qué medida la hiperplasia del tejido adiposo puede impedir adelgazar? No lo sé, pero creo que no se puede descartar que en los casos más graves, aun haciendo todo lo correcto, el peso corporal no baje de un determinado punto porque los adipocitos no quieren/pueden vaciarse más de triglicéridos.
No me consta que el resto de cambios fisiológicos sean irreversibles, por lo que sigo teniendo esperanza en que «comer comida» y hacer ejercicio físico puede ayudar a perder peso a una parte de los que tenemos exceso. Y otra idea que me parece interesante, aunque sólo sea lógica y no un dato experimental, es que si consigues adelgazar sin someter a tensión a tu cuerpo, éste no tiene por qué luego volver al peso original (algo así como que si nuestro cuerpo busca por sí mismo bajar de peso no tiene sentido que manteniendo esos mismos hábitos de dieta y ejercicio físico quiera volver al peso original). La lógica dice que gran parte de la culpa del efecto rebote la tiene el método: querer adelgazar torturando a nuestro cuerpo. Y todo por culpa de la estupidez del balance energético.
¿Carga de carbohidratos? No lo sé. No sé si esa idea aporta algo a la hora de bajar de peso o intentar mantener lo perdido.
¿l-carnitina? Tendría que leer sobre el tema para poder opinar. A priori yo soy más partidario de alimentación natural y ejercicio físico que de buscar ayuda «exógena».
¿Prevención? Educar a nuestros hijos sobre lo que es una alimentación saludable y sobre lo estúpido que es hablar del balance energético y las calorías. Acostumbrarles a comer comida real y a que digan «no» a los productos procesados. Y denunciar públicamente lo que estamos haciendo con la gente que padece obesidad.
Muchas gracias por la respuesta Vicente, saludos
Los investigadores que crean que han inventado una ratonera deberían probarla un entorno controlado antes de poner el cebo en la población general
“Tenemos que dejar de recomendar tratamientos inefectivos para pérdida de peso”
Ufff. Bueno, seguiremos experimentando con uno mismo. Alguna manera habrá de forzar la desaparición progresiva de adipocitos. Supuestamente, si no los utilizas durante, digamos, 1 año, deberían ir disminuyendo. Algún principio de eficiencia fisiológica….alimentar células que no se usan….. No sé…
A mi mismo. Investigando por ahí (sin rigor) veo que se menciona desde el uso de complejos de calcio más vitamina D3, o el uso de dosis de CLA controladas, como inductores a la apoptosis.
De forma mecánica hay ciertas máquinas que por lo visto son capaces de inducir la muerte SÓLO del tejido adiposo mediante su calentamiento (radiofrecuencia con una impedancia determinada), no invasiva. O eso dicen. VANQUISH se llama. No sé, no sé.
Otra es la termoterapia, que lleva años rodando por ahí. Te aplicas frio sobre la zona en la que quieres reducir grasa (digamos una bolsa de gel de esas de congelador), primero protegiendo la piel para no quemarla con una tela fina, y luego directamente, sobre la zona, 30-40 minutos. Realmente, esta tiene más sentido, pero no aseguraría que lleve a la muerte de los adipocitos. Ampliando el concepto a la perdida de peso es verdad que pasando frío, literalmente, se pierde grasa, ya sea aplicando una de las susodichas bolsas de gel en la nuca (regulador de temperatura corporal) o tomando baños de 10-15 minutos con hielo (uyuyuy), o saliendo en invierno a hacer deporte sin camiseta y un pantalón corto (eso sí con manos, pies y cabeza bien cubiertas). Si alguien va a hacer lo del gel, que lea antes en internet posibles efectos secundarios. Cuidadín.
Una solución más fácil es bajar la temperatura de la calefacción en tu casa, sobre todo al dormir, que también provoca la quema de grasa. Seguro que tienes alguna entrada dedicada a esto, pero es que tu base de conocimiento es cada vez más amplia y hay cosas que simplemente no encuento.
Por cierto, esto si quieres lo quitas (y lo que veas que sobra, por supuesto). Escribo desde firefox beta v,57 y es absolutamente impresionante la velocidad de renderización de páginas. Increible.
Saludos y como siempre, muchísimas gracias por compartir tus conocimientos.
La verdad que me parece un articulo muy interesante. No soy experto para nada en el tema, pero yo padezco esto en gran medida. Mido 1.65 y peso 107 kg. Mi capacidad de crear músculo es grande (Y sobre todo de mantener el músculo, aun sin estar meses haciendo pesas, apenas bajo algunos kg de músculo (70 kg magros), pero perder grasa, mi cuerpo no quiere. La cosa es que gran parte de mi vida he batallado y he luchado como pocos delgados (Porque al estar delgados se supone que luchan por no engordar… O quizás me equivoco!? (Ironía)) por no estar con exceso de grasa corporal. El problema es que si alguna vez me he pasado con la comida y he engordado algún kilo, luego tan super fácil que me es ganarlo, más que super difícil le es a mi cuerpo reducirlo. Y la cosa no acaba ahí, os cuento mi caso, porque es el ejemplo perfecto. Yo he hecho como 8 dietas en mi vida desde un par de meses hasta más de un año desde hace casi 15 años (Ahora tengo 30) y cada vez a mi cuerpo comiendo lo mismo con lo que antes perdía peso, ahora le cuesta. En los últimos cinco años, el ejercicio ha sido más intenso, los macronutrientes bien planificados, y nada. Lo que sucede es que cada vez mas a menudo al principio de la dieta logras perder de 2 a 4 kg y te estancas, a pesar de que según tu metabolismo basal sea de 2200 calorías que debido a mi actividad física diaria (Doy entre 15000 y 20000 pasos cada día y además de hacer pesas) y de hacer cosas en casa y ser físicamente activo o muy activo, lo que supone al menos 1000 calorías extra mas al día, o sea, que mi cuerpo quema unas 3000 a 3500 calorías al día (En teoría claro) y como unas 1700 calorías diarias. (Dias que como 1300, y días que llego a 2000 o 2100). La cosa es que según esto tendría que estar perdiendo un kg y medio por semana. Pues no pierdo o pierdo medio kg cada dos semanas o mas. Luego dicen que comes mucho cuando hay mucho youtuber delgado que come de 2500 a 3500 calorías siendo palos, gente definida físicamente y con un metabolismo bien acelerado. Los casos se me complican cuando voy descubriendo cuanto suele comer la gente según su peso (Busco en YouTube) y la verdad me sorprende. La gente dice comer 5000 calorías para estar pesando 100 kg. 113 kg pesa otro midiendo 1.80 y consume 7000 calorías. Yo no me lo creo. Por que yo, que como más bien poco (No mas de 50 gramos de azúcar al día de media) y quemo tantas calorías no estoy delgado. Por qué me preocupo mas que muchos delgados por mi salud y no estoy delgado? Que qué como. Pues tomo avena (Unos 30 o 40 gramos por toma, claras de huevo (Unas cinco con un huevo revuelto en la sartén con aceite de oliva), pollo (En cada comida unos 200 gramos de pollo), alubias (Altas en fibra, con pocas calorías por 100 gramos (Me pongo unos 300 gramos por cada toma con salsa de tomate natural casera que hace mi madre, sin casi azúcar que le echa) y muy buenas al ser legumbres con una dosis no mala de hidratos de carbono y proteínas y sin azúcar casi), tomo alguna vez salmorejo (55 calorías por 100 gramos. Me pondré cuando hago una de mis tres comidas o cuatro al día unos 250 gramos de salmorejo con una lata de atún pequeña sin aceite y un huevo duro). Alguna vez pero pocas veces meto pasta, ya que tienen no pocas calorías, y cereales integrales con no demasiada azúcar por 100 gramos (Unos 10 gramos de azúcar), pues unos 50 gramos de cereales integrales con 200 ml de leche desnatada como una comida del dia.
Es cierto, no me gusta la lechuga, no me gusta nada y el tomate sin ser salsa de tomate natural casera (Unas 35 – 40 calorías por 100 gramos)(Que me gusta mucho mas que el kétchup), siendo como fruta en su base sólida si que me gusta y alguna vez lo tomo.
Excepto porque no como lechuga, cebolla, y cosas así, por lo demás está muy bien, prácticamente obsesionado con el físico, cada día con mi aplicación fat secret viendo los macronutrientes con unos consumos de 150 gramos o algo mas de hidratos de carbono por día, 100 a 120 gramos de proteína por día y unos 40 gramos de grasa al día. Hay algo que no cuadra y no se ve en los análisis (Que está todo bien) ya que la tiroides la tengo aparentemente bien.
Mi conclusión es que el cuerpo se resiste a perder grasa a no ser que comas de 0 a 500 calorías diarias, cosa que por salud no voy a hacer, ya que además si lo hago expongo a que mi cuerpo aun oxide menos las grasas y el metabolismo se acabe estropeando aun mes. Que me planteo, una liposucción, a ver si quitando las células grasas, como el cuerpo ya a partir de los 15 – 20 no crea mas, pues no se me crean de nuevo en mi cuerpo. La obesidad no pocas veces es una enfermedad que no depende para nada tanto del individuo que la padece y estoy seguro de que cada vez se descubrirán mas pruebas sobre ella y mayor número de genes implicados en la obesidad (Creo que hay 200 o más ya (Para luego decir que la obesidad no es un tema complejo…).
Con todo esto les he contado mi caso y con todo esto me despido escribiendo este post.
Hola Julián,
gracias por compartir tu historia.
Me da la impresión de que lo que has intentado hasta ahora ha estado centrado en «cuánto» y a lo mejor pensar en «qué» puede ayudarte.
Te remito a este documento que escribí para Gloria. También te puede interesar el librito que se puede descargar desde el menú del blog. Es un extenso resumen del blog, con enlaces a muchas de las entradas.