El efecto engordante de combinar azúcar con omega-6
Voy a comentar algunos estudios en roedores que sugieren que la combinación de azúcar y omega-6 en la dieta es engordante para esos animales.
«cAMP-dependent Signaling Regulates the Adipogenic Effect of n-6 Polyunsaturated Fatty Acids«
Empiezo por el resultado:
n-6 PUFAs were pro-adipogenic when combined with a high carbohydrate diet, but non-adipogenic when combined with a high protein diet in mice
los ácidos grasos poliinsaturados omega-6 fueron pro-adipogénicos cuando se combinaron con una dieta alta en carbohidratos, pero no-adipogénicos cuando se combinaron con una dieta alta en proteína
Se comparan dos dietas enriquecidas en omega-6 en ratones. En una de ellas se añade azúcar (sucrose+corn oil) y en la otra se añade proteína (protein+corn oil).
Los ratones que siguieron la dieta con azúcar añadido consumieron menos calorías que los que siguieron la dieta con proteína añadida:

Los ratones alimentados con la dieta «azúcar+omega-6» engordaron muchísimo más que el resto de ratones:

Pero no sólo eso. El problema puede no ser tanto engordar, sino el tipo de engorde. La dieta con azúcar y omega-6 aumentó la expresión de genes relacionados con la adipogénesis, es decir, la creación de nuevas células grasas a partir de pre-adipocitos. Por ejemplo, esto se muestra para el PPAR-γ2, controlador principal de la adipogénesis, del que ya he hablado en el blog (ver,ver):

![]()
Siendo que es un hecho que la «dieta occidental» nos está engordando, y siendo que tanto los aceites de semillas como el azúcar forman parte de esta dieta, es razonable pensar que el efecto en humanos pueda ser el mismo que estamos viendo en los ratones (ver,ver). Ésa es la preocupación con la que los autores del estudio acaban su discusión de los resultados.
«Dietary Linoleic Acid Elevates Endogenous 2-AG and Anandamide and Induces Obesity«
Experimento nuevamente en ratones, en el que se comparan 6 dietas: 3 dietas con un 35% de grasa, y otras tres dietas con un 60% de grasa. Como se muestra en la tabla, en términos de macronutrientes no hay diferencias entre las tres primeras dietas, ni entre las segundas tres.


Lo que sí es diferente es el cociente omega-6/omega-3 entre dietas.
En la siguiente gráfica he resaltado en rojo dos dietas con ingesta isoenergética y misma distribución en términos de macronutrientes (35% grasa, 45% carbohidratos), que producen distinta acumulación de grasa corporal. Lo mismo sucede con las dietas resaltadas en azul (60% grasa, 20% carbohidratos).

En ambos casos, dietas en rojo y dietas en azul, ha sido la dieta con mayor cociente omega-6/omega-3 la que ha producido mayor engorde (en términos del porcentaje de grasa corporal).
Por otro lado, las dietas con mayor proporción de carbohidratos (serían las triadas con barras sin rayado, las resaltadas en rojo), azúcar entre ellos, eran más engordantes por caloría consumida, como muestra la eficiencia de alimentación (gramos ganados por caloría consumida), en comparación con las dietas con menor proporción de carbohidratos (triadas con barras rayadas, las resaltadas en azul).
We also note that feed efficiency was much greater in the medium-fat diets compared to the high-fat diets. One explanation is that carbohydrates supplied 45 en% for the medium-fat diets but only 20 en% for the high-fat diets

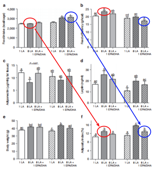
Otra comparación interesante es entre las dos dietas que resalto con una elipse en la siguiente figura. Ambas son altas en omega-6 (y tienen similar cociente omega-6/omega-3). La dieta alta en azúcar y alta en omega-6 fue más engordante por caloría consumida que la alta en omega-6, pero no tan alta en azúcar. Podría pensarse que es el efecto engordante del azúcar, pero se puede deducir que no es sólo el azúcar: las dietas que están a la derecha de las dos resaltadas tienen las mismas calorías que éstas y también la misma cantidad de azúcar, pero un menor cociente omega-6/omega-3, y resultaron en un menor engorde por caloría ingerida.

O en otras palabras, parece que efectivamente azúcar+omega-6 es una buena combinación si se busca engordar a un ratón. Los autores de este estudio acaban su discusión de los resultados exactamente igual que en el estudio anterior, sugiriendo que en humanos puede estar pasando lo mismo que ellos han comprobado en ratones. Aunque únicamente sea una asociación estadística, estos autores resaltaron que el consumo de aceite de soja está correlacionado con la prevalencia de la obesidad, cuando se combinan datos sacados de varios estudios epidemiológicos:

En el mismo artículo se constatan otros factores que también están correlacionados con la obesidad (azúcar, consumo de aves de corral, grasa, etc.).
Hipotéticamente, la transición a una dieta alta en azúcar y alta en omega-6 tendría las siguientes consecuencias:
- Aumento en la ingesta de comida
- Aumento de la capacidad de engordante de la comida
O en otras palabras, una dieta alta en azúcar y en omega-6 sería engordante:

Bajo este supuesto, la causa última del engorde sería la baja calidad de la dieta (por la incorporación de alimentos inexistentes en nuestra evolución como animales). Si el apetito y la ingesta se incrementan, sería una consecuencia de la baja calidad de la dieta y de sus efectos en nuestro cuerpo, no un defecto en la personalidad, ni la causa real del problema. Pero además el apetito no es el único efecto: las dietas altas en azúcar y en omega-6 son más engordantes, al margen de las calorías. Fijémonos en dos dietas en la gráfica: la resaltada ahora en rojo es alta en azúcar y en cociente omega-6/omega-3, la resaltada en azul es más baja en azúcar y en cociente omega-6/omega-3. La ingesta energética es claramente mayor en la dieta azul, pero ambas dietas producen la misma adiposidad, porque la dieta alta en azúcar y en omega-6/omega-3 es la más engordante por caloría ingerida de las 6 dietas, mientras que la baja en azúcar y en omega-6/omega-3 es la menos engordante por caloría ingerida. Las dos dietas más bajas en azúcar y en omega-6/omega-3 son las que menor eficiencia de alimentación tienen, es decir, las menos engordantes por caloría ingerida.

«Soybean Oil Is More Obesogenic and Diabetogenic than Coconut Oil and Fructose in Mouse: Potential Role for the Liver«
Experimento en ratones. Se comparan cinco dietas muy altas en carbohidratos (la mitad de la energía son carbohidratos). Cuatro de las dietas tienen idéntica composición en términos de macronutrientes: HFD (con aceite de coco), SO-HFD (con aceite de soja) y dos versiones de cada una de ellas (prefijo F- si tienen fructosa en lugar de almidón).

La ingesta energética con la dieta SO-HFD (con aceite de soja), fue la más baja de todas las dietas:

Pero esa dieta fue claramente la más engordante (curva naranja):

Lo reitero: la dieta con menor ingesta energética fue la más engordante.
Y hubo diferencias en la grasa corporal, especialmente en la subcutánea:

«Dietary fish oil positively regulates plasma leptin and adiponectin levels in sucrose-fed, insulin-resistant rats«
Estudio en ratas en el que unas ratas han sido alimentadas con una dieta alta en azúcar durante seis meses. Esas ratas son divididas en dos grupos y durante tres meses más reciben o la misma dieta alta en azúcar (grupo SRD) o la misma dieta alta en azúcar con suplementación de aceite de pescado (SRD+FO), lo que reduce el cociente omega-6/omega-3.
Aunque consumen prácticamente la misma energía durante esos tres meses, el grupo SRD gana mucho más peso que el SRD+FO:

Y hay diferencias al final del experimento en la grasa corporal en esos dos grupos:

Si nos fijamos en la gráfica (histograma de tamaño de adipocitos), los adipocitos en el grupo SRD están claramente más llenos que en el grupo SRD+FO:

Es decir, en estas ratas sucede lo mismo que veíamos en ratones: al margen de las calorías, en una dieta alta en azúcar un cociente omega-6/omega-3 elevado aumenta la capacidad engordante de la dieta. No es necesario «pasarse comiendo» para engordar (signifique eso lo que signifique): puede ser suficiente con comer mal para engordar.
«Sucrose Counteracts the Anti-Inflammatory Effect of Fish Oil in Adipose Tissue and Increases Obesity Development in Mice«
Sugerente título: el azúcar contrarresta los efectos antiinflamatorios del aceite de pescado en el tejido adiposo e incrementa el desarrollo de obesidad en ratones. O en otras palabras, reducir el cociente omega-6/omega-3 es bueno, pero si se consume azúcar puede no ser suficiente para evitar la obesidad.
Como se ve en el experimento, dietas isocalóricas (gráfica B) producen claramente distintos resultados en términos de grasa corporal (gráfica C).

Es decir, si con un cociente omega-6/omega-3 dado, en lugar de azúcar se consume proteína, el resultado es claramente mejor en términos de acumulación de grasa corporal.
NOTA: ya hablé de este estudio en esta entrada del blog. En esa misma entrada vimos otro estudio en el que a pesar de incluir aceite de pescado en la dieta, la adiposidad se incrementaba conforme el porcentaje de azúcar en la dieta se incrementaba. Ese otro estudio era:
“High-glycemic index carbohydrates abrogate the antiobesity effect of fish oil in mice”
Estudio en ratones en el que se usa una dieta con aceite de pescado. Incrementar el porcentaje de azúcar en la dieta (13, 23, 33 y 43%), ¡sin alterar la ingesta energética!, produjo un incremento de la adiposidad marcado por la cantidad de azúcar en la dieta:

«A high ratio of dietary n-3/n-6 polyunsaturated fatty acids improves obesity-linked inflammation and insulin resistance through suppressing activation of TLR4 in SD rats«
Durante 10 semanas, cuatro grupos de ratas siguen dietas muy altas en carbohidratos, con distinta proporción de ácidos grasos omega-6/omega-3.

La energía por gramo es la misma en las dietas SFA, PUFA1:1 y PUFA1:4, y puesto que no hubo diferencias significativas en la ingesta en gramos, tampoco las hubo en términos de calorías:
The daily weights of food intake (grams) during the 16 weeks period were similar among all groups
Y como ya nos imaginamos, sí hubo diferencias en la acumulación de grasa entre las dos dietas que únicamente se diferenciaban en el cociente omega-6/omega-3:

Las dos dietas resaltadas en la gráfica anterior tienen la misma composición en términos de macronutrientes, y las ingestas han sido similares en términos de calorías, pero el engorde que han producido no ha sido el mismo.
«Treatment for 2 mo with n-3 polyunsaturated fatty acids reduces adiposity and some atherogenic factors but does not improve insulin sensitivity in women with type 2 diabetes: a randomized controlled study«
Este estudio es en humanos, y es interesante porque es un estudio controlado, aleatorizado y con doble ciego. A los participantes se les daba una cápsula con 3g/día de aceite de pescado (1.8g/día de omega-3) o de placebo (aceite de parafina). Ni los participantes ni los investigadores sabían qué tomaba cada persona. Además, el cociente omega-6/omega-3 en los fosfolípidos plasmáticos era diferente según el tratamiento seguido, lo que confirma que los participantes se tomaron las cápsulas:

Y el resultado fue que el grupo tratado con omega-3 redujo su porcentaje de grasa corporal en un 1.6%, frente a la reducción del 0.3% en el grupo placebo:

Mis reflexiones
En esta entrada sólo he presentado un estudio en humanos. El resto eran en roedores. ¿Se puede deducir de los resultados anteriores que, en humanos, la combinación de azúcar y aceites con elevado contenido en omega-6 es engordante? No. No podemos extrapolar de esa forma los experimentos realizados con animales. Al igual que a los autores de algunos de los estudios, a mí también me parece razonable tener esa sospecha, pero repito que estos estudios no lo demuestran. No obstante, eso no quiere decir que esos estudios hechos con animales sean irrelevantes: lo que sí se puede afirmar con rotundidad es que el dogma que dice que «pensando en el peso corporal, no existen los alimentos engordantes, lo único que cuenta es su contribución calórica al final del día» es absolutamente falso y no es algo que se deduzca de las leyes de la física. Lamentablemente, suena razonable en base a lo que creemos saber sobre por qué engordamos (ver).
Leer más:
Hola Vicente! Me alegra que hayas vuelto a la carga después de las vacaciones. Muy buen resumen, gracias, como siempre, genial!
No sabes la alegría que me da que sigas ahí, prestando atención a este pequeño blog.
¡Muchísimas gracias a ti, Paloma!