«La ingesta energética no tuvo relación con la adiposidad»
«Dietary obesity in nine inbred mouse strains«
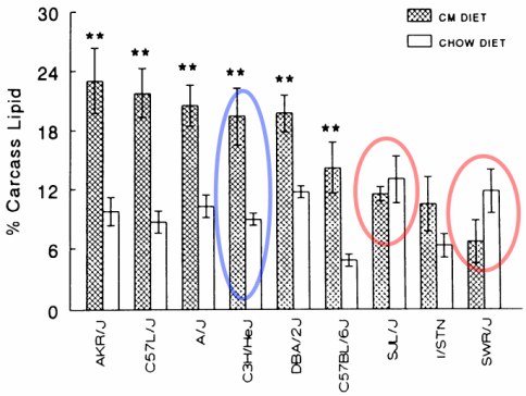
Experimento en el que se compara el efecto de dos dietas en nueve cepas de ratones. Dieta normal para ratones (dieta chow) y dieta que contiene leche condensada (dieta CM).
La ingesta energética no fue forzada y fue casi siempre un poco mayor con la dieta CM, aunque en dos o tres cepas estuvo igualada y en una cepa fue mayor con la dieta chow. He señalado tres cepas con elipses para luego hacer referencia a ellas.

La dieta con leche condensada engordó más que la otra dieta a siete cepas de ratones y menos que la otra dieta en los otros dos casos, como se muestra en la gráfica:
El efecto en la grasa corporal no se puede explicar por la ingesta energética. Por ejemplo, en la cepa resaltada con la elipse azul la ingesta energética fue la misma con ambas dietas, pero la acumulación de grasa corporal fue muy diferente. Otro ejemplo: en las dos cepas que he resaltado con elipses rojas, la dieta chow fue más engordante que la CM, y la ingesta energética de la dieta chow fue inferior a la dieta CM. En esas dos cepas hubo más engorde con la dieta que aportaba menos calorías.
Los autores lo resumen diciendo que la ingesta energética no guardó relación con la acumulación de grasa corporal:
Cumulative intake of energy over the 7 wk of the experiment was not related to the change in adiposity induced by the CM diet in the different strains
La ingesta energética acumulada en las 7 semanas del experimento no guardó relación con el cambio en la adiposidad inducido por la dieta CM en las distinas cepas.
«La ingesta energética no guardó relación con el cambio en la adiposidad»
Recordemos, una vez más, las enseñanzas del gran Stephan Guyenet, PhD:
las calorías de los alimentos es la única propiedad de la comida que ha demostrado convincentemente afectar a la masa grasa corporal. No hay ninguna otra propiedad de la comida que nunca haya demostrado afectar la masa grasa del cuerpo
No. Nunca. Lo prohíben las leyes de la física.
Leer más:
Un Comentario