Etiquetado: UCP2
La fisiología de engordar (7 de 9)
Fibras musculares
Como decía en las entregas anterior del artículo, una pobre activación de las proteínas desacopladoras podría explicar una mayor susceptibilidad a engordar sometidos a la misma dieta que otra persona. Importarían tanto los niveles de activación en reposo como la capacidad y velocidad de respuesta de esas proteínas, pues si no se adaptan al contenido en grasa de la dieta los niveles de los ácidos grasos en sangre pueden permanecer elevados permanentemente o durante unas horas, y es posible que acaben siendo, en parte, almacenados como grasa corporal en la siguiente comida o dañando otros órganos (lipotoxicidad). Se puede lanzar la hipótesis, por tanto, de que personas que tengan fibras musculares con proteínas desacopladoras muy flexibles metabólicamente, que mantengan un elevado gasto en reposo y que reaccionen de forma clara ante elevaciones en las concentraciones de ácidos grasos en sangre, serán más resistentes a engordar que otras personas cuyas fibras musculares tengan proteínas desacopladoras que no reaccionan tan bien.
El resultado siguiente es en ratas, pero me sirve como prueba de concepto: una variación en las concentraciones de ácidos grasos circulantes alteró la expresión de las proteínas desacopladoras en las fibras «de oxidación lenta», pero no en las fibras de oxidación «glucolítica-rápida».
in response to the anti-lipolytic agent nicotinic acid, utilized to reduce FFA flux at the input supply (i.e. circulating) level in fed and fasted rats, expression of the UCP3 and UCP2 genes was reduced in the soleus (predominantly slow-oxidative fibres), but not in the gastrocnemius (predominantly fast-glycolytic fibres) or tibialis anterior (predominantly fast-oxidative-glycolytic fibres) muscles. (fuente)
Si eso fuera así también en humanos, cabría esperar que una persona con fibras musculares mayoritariamente de oxidación rápida-glucolítica o rápida oxidativa/glucolítica (Tipos IIA y IIB) fueran propensas a engordar, mientras que las personas con fibras mayoritariamente de oxidación lenta (Tipo I) tuvieran cierta protección frente a la obesidad. Y estaríamos hablando de genética.
Type I fibers have low ATPase activity (at pH 9.4), are slow twitch, have high oxidative and low glycolytic capacity, and are relatively resistant to fatigue. Type IIA fibers have high myosin ATPase activity (pH 9.4), are fast twitch, have high oxidative and glycolytic capacity, and are relatively resistant to fatigue. Type IIB fibers have high myosin ATPase activity (pH 9.4), are fast twitch, have low oxidative and high glycolytic capacity, and fatigue rapidly (fuente)
Distintos tipos de fibra muscular pueden tener diferentes niveles de UCPs (ver,ver) y. como hemos visto, posiblemente también distinta capacidad de respuesta ante un incremento en la concentración de NEFA o de otras fuentes de activación. Como vamos a ver en resultados observacionales, parece que cierto tipo de fibras musculares está menos asociada a la obesidad que otros, en concreto las fibras de Tipo I. ¿Por tener mejor capacidad de adaptación ante un aumento en los niveles circulantes de ácidos grasos?
Taken together, these results suggest the existence of positive feedback loops between FFA flux and muscle UCPs only in oxidative muscles – with that loop operating at the input FFA supply level for muscles with predominantly slow-oxidative fibres, and at the output FFA oxidation level for muscles with predominantly fast-oxidative-glycolytic fibres. (fuente)
Estos resultados sugieren la existencia de lazos de realimentación positivos entre los flujos de ácidos grasos libres y las proteínas desacopladoras musculares únicamente en los músculos oxidativos — con ese lazo operando en la entrada del nivel de suministro para el músculo de ácidos grasos en las fibras lentas-oxidativas y a nivel de la salida de oxidación de ácidos grasos para las fibras predominantemente rápidas-oxidativas-glucolíticas.
El pronóstico pudiera ser:
- Dieta engordante + Alto % Fibras Tipo I –> Engorde (la grasa entra de primeras en el tejido adiposo y las proteínas desacopladoras no pueden ayudar en nada)
- Dieta no-engordante + Alto % Fibras Tipo I –> No engorde (lo que no entra en el tejido adiposo es eliminado por las proteínas desacopladoras)
- Dieta engordante + Alto % Fibras Tipo IIb –> Máximo engorde (engorda lo que entra directamente por ser una mala dieta, más el hecho de que las proteínas desacopladoras no son eficientes regulando los niveles de ácidos grasos en sangre)
- Dieta no-engordante + Alto % Fibras Tipo IIb –> Posible engorde (dependería de otros factores, como si con actividad física se consigue mantener niveles de ácidos grasos en sangre que tengan niveles normales)
Vamos a ver algunos resultados publicados en revistas científicas relativos a los distintos tipos de fibras musculares y su relación con la obesidad.
«Muscle fiber type I influences lipid oxidation during low-intensity exercise in moderately active middle-aged men«
Un mayor porcentaje de fibras Tipo I puede suponer una mayor oxidación de grasa tanto en reposo como durante la actividad física, lo que podría ser relevante en la predisposición hacia la obesidad o la capacidad para mantener el peso:
We demonstrated a difference of several kilos in lipid oxidation per year due exclusively to differences in muscle fiber type I distribution. This variation may have a significant role in weight maintenance and the development of obesity
Porcentaje de la energía procedente de grasas en función del porcentaje de fibras musculares de Tipo I:

Type I muscle fibers have a high capacity to use blood-borne fatty acids (Skinner & McLellan, 1980; Holloszy & Coyle, 1984). After the first few minutes of low-intensity exercise, increasing amounts of free fatty acids are released into blood and transported into the working muscles, making free fatty acids the dominant fuel for contracting muscles
«Muscle fiber-type distribution predicts weight gain and unfavorable left ventricular geometry: a 19 year follow-up study«
Seguimiento a 63 hombres sanos. Se toman muestras de su tipo de fibras musculares y al cabo de 19 años se comprueba cuánto han aumentado su IMC (índice de masa corporal) en función de su porcentaje de fibras de Tipo I. Hay más engorde en las personas con menos porcentaje de fibras Tipo I:

Porcentaje de grasa corporal frente a porcentaje de fibras de Tipo I:

En forma de tabla, los que tenían mayor porcentaje de fibras de Tipo I tenían claramente menos grasa corporal y ganaron con el tiempo menos grasa corporal (por año):

«Muscle fiber type is associated with obesity and weight loss«
Porcentaje de fibras de Tipo IIb frente a Índice de Grasa Corporal. La barra roja señala el límite entre lo que los autores consideran delgados y los que consideran obesos. Nótese que no hay delgados que tengan demasiadas fibras de Tipo IIb, ni obesos que tengan pocas.

Además, los autores del artículo nos dicen que una relación causa-efecto podría explicar los mayores índices de obesidad en las mujeres afroamericanas, pues tienen menor porcentaje de fibras tipo I que las caucásicas. También resaltan que los obesos mórbidos que pierden más peso haciendo dieta tienen en término medio más fibras de Tipo I:
we observed a reduced percentage of type I and an increased percentage of type IIb muscle fibers in obese individuals compared with their lean counterparts. There was also a reduced percentage of type I muscle fibers in obese African-American women compared with obese Caucasian women. This correlates with the higher incidence of obesity and greater weight gain reported in African-American women. Finally, morbidly obese individuals with a greater percentage of type I muscle fibers tended to lose more body mass with weight loss intervention.
«Skeletal Muscle Characteristics Predict Body Fat Gain in Response to Overfeeding in Never-Obese Young Men«
Experimento de sobrealimentación: 1000 kcal extra cada día durante 84 días
Each subject was overfed by 1,000 kcal per day, 6 days a week, for a total of 84 days over a 100-day period.
Los sujetos con más porcentaje de fibras Tipo I ganaron menos grasa corporal que los que menos porcentaje de fibras Tipo I tenían:

«Interrelationships between muscle fibre type, substrate oxidation and body fat«
A mayor porcentaje de fibras Tipo I, menos grasa corporal:

an increasing proportion of type I muscle fibres would enhance the body’s capacity to utilise lipid for energy and act to reduce body fat accumulation
«Distinct skeletal muscle fiber characteristics and gene expression in diet-sensitive versus diet-resistant obesity«
Hacemos perder peso a 24 personas y agupamos la pérdida de peso en dos grupos: los que más han perdido (ODS) y los que menos han perdido (ODR):

Los que más peso han perdido tienen mayor porcentaje de fibras musculares Tipo I:
we found increased type I and decreased type IIa fibers in ODS subjects with reciprocal decrease and increases in types I and IIa fibers in ODR subjects
«Altered Fiber Distribution and Fiber-Specific Glycolytic and Oxidative Enzyme Activity in Skeletal Muscle of Patients With Type 2 Diabetes«
Porcentaje de fibras musculares de Tipo I (SO) en pacientes diabéticos tipo 2 (T2D) o no diabéticos (NGT):

Sin diferencias apreciables en el peso corporal en función de la condición de diabético (lo que indicaría que existe una relación entre fibras de Tipo I y diabetes separada de la relación % Tipo I – obesidad):

«Human Muscle Fiber Type– Specific Insulin Signaling: Impact of Obesity and Type 2 Diabetes«
En una población de diabéticos tipo 2 se encuentra menor porcentaje de fibras Tipo I que en los no diabéticos, ya fueran delgados u obesos.
In the T2D group compared with the lean and obese group, the relative number of type I muscle fibers was lower, and the relative number of type IIx muscle fibers was higher
«Slow-Twitch Fiber Proportion in Skeletal Muscle Correlates With Insulin Responsiveness«
Se encontró un menor porcentaje de fibras Tipo I en sujetos con síndrome metabólico:
There were fewer type I fibers and more mixed (type IIa) fibers in metabolic syndrome subjects

«Decreased Mitochondrial Proton Leak and Reduced Expression of Uncoupling Protein 3 in Skeletal Muscle of Obese Diet-Resistant Women«
Resultado parecido a uno que hemos visto antes: hacemos perder peso a un grupo de mujeres y observamos por separado las características del tejido muscular de las que más peso pierden y de las que menos peso pierden (en base a la pérdida de peso en 6 semanas a 900 kcal/d). Se observa que en las que más peso pierden hay mayor expresión genética de la UCP3:

Despite similar baseline weight and age, weight loss was 43% greater, mitochondrial proton leak–dependent (state 4) respiration was 51% higher (P < 0.0062), and expression of UCP3 mRNA abundance was 25% greater (P < 0.001) in diet-responsive than in diet-resistant subjects
Many patients experience difficulty in losing weight despite diet adherence. Skeletal muscle UCP3 and proton leak may be candidates for pharmacological upregulation of fatty acid oxidation in these obese diet-resistant subjects.
«Uncoupling protein 1 and 3 polymorphisms are associated with waist-to-hip ratio«
Se encontró una relación estadística entre el tipo de proteína UCP3 y el cociente cintura-cadera, lo que sugiere un papel de estas proteínas en la regulación del peso corporal.

«A genetic variation in the 5 ‘ flanking region of the UCP3 gene is associated with body mass index in humans in interaction with physical activity«
Mismo resultado que el anterior: mayor peso corporal tanto en individuos control como en obesos mórbidos, si tienen la variante TT de la UCP3.
The -55 polymorphism was associated with BMI in the obese group (p = 0.0031): BMI was higher in TT than in CC or CT patients.

the UCP3 gene could be considered as a gene modifying corpulence
Y resaltan que, según sus resultados, el ejercicio físico podría ser beneficioso para el peso corporal sólo en obesos con determinadas variantes genéticas:
From our results a potential beneficial effect of physical activity on BMI, is limited to obese subjects with a wild-type genotype: ±55 ( + 524) C/C; the presence of one variant T allele, abolishes this beneficial effect.
Aunque no miran el mismo gen, este otro artículo llega a la misma conclusión de que el efecto del ejercicio físico puede ser diferente según la variante genética de la UCP3:
This supports the hypothesis that UCP3 could be involved in human body composition regulation and possibly in the control of obesity, by modulating the response to regular exercise.
Y lo mismo en este otro estudio, en el que la eficiencia del músculo cambió de diferente forma al hacer ejercicio, en función del genotipo.

Pero no todos los estudios coinciden en qué variante genética de la UCP3 proporciona mayor susceptibilidad a engordar (ver).
«Four novel UCP3 gene variants associated with childhood obesity: effect on fatty acid oxidation and on prevention of triglyceride storage«
Se encontró que determinadas mutaciones de la UCP3 tenían relación tanto con mayores niveles de NEFA como con mayor masa grasa:
subjects carrying V56M or Q252X dominant-negative mutations had the highest plasma non-esterified fatty acid values, mild liver steatosis and higher fat mass and lower free fat mass values
«Skeletal Muscle Uncoupling Protein 3 Expression Is a Determinant of Energy Expenditure in Pima Indians«
En los indios Pima, a mayor expresión genética de la UCP3, menor IMC y mayor gasto energético durante el reposo nocturno:
![]() |
![]() |
our results indicate that UCP-3 mRNA expression in skeletal muscle varies two- to threefold and may be a determinant of of the variability in rates of energy expenditure and, thereby, in the degree of obesity. Additional studies are needed to demonstrate that UCP-3 protein concentrations are reflected by UCP-3 mRNA concentrations and that UCP-3 protein concentrations are also correlated with rates of energy expenditure
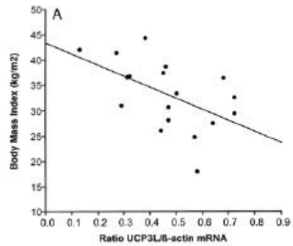
«Uncoupling protein-3 expression in skeletal muscle and free fatty acids in obesity«
En humanos, se encontró una clara relación entre expresión genética de la UCP3 y niveles de ácidos grasos en plasma
![]() |
![]() |
NOTA: se sale de la gráfica de la derecha el dato de una persona de IMC 44 kg/m² pues su gasto energético en reposo era 2866 kcal/d (con UCP3 mRNA=46.6).
La correlación FFA-UCP3 es aún mayor si se ajusta por edad, masa grasa, IMC, masa no grasa y peso corporal:
The mRNA expression of UCP3 was positively and linearly correlated with circulating free fatty acids (r=0·83; p=0·005), whereas that of UCP2 was not (r=0·40). When adjustments were made for age, percentage of fat mass, body-mass index, lean body mass and bodyweight, the correlation between UCP3 mRNA and concentrations of free fatty acids was stronger (r=0·99; p<0·001)
La fisiología de engordar (9 de 9)
La fisiología de engordar (8 de 9)
La fisiología de engordar (7 de 9)
La fisiología de engordar (6 de 9)
La fisiología de engordar (5 de 9)
La fisiología de engordar (4 de 9)
La fisiología de engordar (3 de 9)
La fisiología de engordar (2 de 9)
La fisiología de engordar (1 de 9)



