Algunas ideas sobre el hígado graso
He tenido hígado graso y ya no lo tengo (ver,ver). Y me refiero a hígado graso no alcohólico, porque no bebo ni he bebido alcohol más que para probarlo, cuando era joven.
El especialista de digestivo al que voy no tenía ni idea de qué hacer al respecto. Afortunadamente mi mujer sugirió que consultáramos a otro especialista, y eso hicimos. Este otro médico me dijo que adelgazara. Aunque al menos éste tenía un poco más de idea, cualquiera que sepa un poco de nutrición entenderá lo baldío del consejo: a día de hoy los médicos no saben decirnos cómo adelgazar (perdiendo una cantidad importante de peso a largo plazo, quiero decir, porque sí saben decirnos cómo perderlo a corto plazo para luego recuperarlo todo en un par de años).
Como decía, ya no tengo hígado graso. Lógicamente me cuesta creer que una dieta alta en grasa es responsable de esta condición (ver), cuando mi dieta actual es alta en grasa (la mayoría de procedencia animal) y mis transaminasas están mejor que nunca. Lo que quiero decir es que no soy objetivo: veo la evidencia científica desde el filtro de mi experiencia personal: ¿cómo puedo creer que la dieta que me ha ayudado a curar mi hígado graso es en realidad perjudicial para el hígado graso? No me lo creo.
No todos los estudios científicos confirman mi visión sobre qué dieta seguir cuando se tiene hígado graso. Entre los que cito al final de esta entrada hay alguno que aparentemente la contradice. No te fíes de mí: lee lo que se ha publicado al respecto y genera tus propias conclusiones.
Además, no soy médico ni nada parecido. Lo que cuento a continuación sólo es mi opinión, no un consejo médico.
NOTA: NAFLD es hígado graso no alcohólico, de sus siglas en inglés (Non-Alcoholic Fatty Liver Disease), y NASH es esteatohepatitis no alcohólica.
Mi hipótesis: seguir una dieta baja en grasa y alta en hidratos de carbono puede ser una de las principales causas del hígado graso.
¿Por qué?
Una dieta baja en grasa nos puede hacer deficientes en colina (choline), una sustancia necesaria para la normal extracción de los triglicéridos del hígado (ver,ver,ver,ver). La colina se encuentra en alimentos como la yema de huevo, bacon, hígado, espinacas, etc. y en general en fuentes de proteína animal, como la carne o los lácteos (ver). Su deficiencia ha demostrado producir hígado graso en humanos (ver,ver,ver).
In healthy individuals, elevated lipid concentrations in the liver lead to increased VLDL production and secretion; however, in NAFLD and NASH patients, this increase in fat export via VLDL may be impaired or insufficient to prevent fatty liver
En individuos sanos, las concentraciones de lípidos elevadas en el hígado llevan a una mayor producción y secreción de VLDL: sin embargo en pacientes con NAFLD y NASH, este incremento en la exportación de grasa via VLDL podría funcionar mal o ser insuficiente para prevenir el hígado graso (ver).
Una dieta alta en hidratos de carbono puede aumentar la producción de grasas en el hígado, sin necesidad de que exista un exceso calórico (ver). Y aunque esa producción endógena de grasas suele ser ignorada porque se cree que es muy pequeña para las ingestas de carbohidratos habituales, sólo es pequeña en personas sanas, pues en personas con obesidad, diabetes, hígado graso, etc. su acción no es despreciable (ver,ver). Y, como decía, son los hidratos de carbono los que estimulan la de novo lipogenesis, i.e. la producción endógena de grasa a partir de glucosa, fructosa y aminoácidos.
Aunque las personas con hígado graso tengan niveles más altos de lo normal de ácidos grasos liberados por el tejido graso, no parece que en el hígado se generen más triglicéridos a partir de esos ácidos grasos, lo que hace pensar que la clave está en la de novo lipogenesis (ver,ver). Los ácidos grasos generados serían tóxicos y «encapsularlos» en triglicéridos (o sea acumular grasa en el hígado) podría ser un mecanismo defensivo (ver) frente al exceso de ácidos grasos libres.
Un nutriente concreto de las dietas altas en hidratos de carbono, la fructosa, puede tener un papel protagonista en el hígado graso (ver). Y la mitad del azúcar de mesa es fructosa.
En resumen, la acumulación de grasa en el hígado podría ser debida a un incremento de la producción endógena de lípidos (dieta alta en carbohidratos/fructosa) en el hígado, y/o una deficiente exportación de dichos lípidos en partículas VLDL (deficiencia en colina por ser la dieta baja en grasa y en productos de origen animal).
Las ideas anteriores son reforzadas por el hecho de que actualmente se considera que el hígado graso es una patología asociada al síndrome metabólico, con un origen posiblemente relacionado con la resistencia a la insulina (ver), lo que sugiere que la restricción de carbohidratos, útil para combatir el síndrome metabólico, podría ser una intervención también útil para revertir el hígado graso (ver).
E incluso la recomendación convencional, «adelgazar», nos lleva al mismo sitio: ¿hay una opción mejor para adelgazar que una dieta low-carb? Como mínimo, yo no veo que la evidencia científica diga que una dieta low-carb es peor para el hígado graso, y es la mejor opción que veo para intentar perder peso (ver,ver).
No hay pruebas concluyentes de que hacer ejercicio, por sí solo, ayude a revertir el hígado graso, pero sí parece ser útil en combinación con un cambio en la dieta (ver).
Ideas que pueden ser útiles para alguien con hígado graso:
- adoptar una dieta baja en hidratos de carbono y alta en grasa (la de los alimentos de verdad) durante un mes y hacerse unos nuevos análisis clínicos, a ver qué tal están las transaminasas. La transición a la dieta low-carb yo la haría gradual, reduciendo poco a poco la cantidad de hidratos de carbono a lo largo de una semana, para evitar una «sobrecarga» de grasa dietaria mientras el cuerpo todavía no está acostumbrado a quemar grasa.
- Asumiendo que los peores azúcares («carbohidratos») son los de rápida absorción (ver artículos al final de esta entrada), la presencia de grasa en la dieta podría ayudar a minimizar el índice glucémico de las comidas (ver).
- Si se tiene sobrepeso, hay que adelgazar. Si quieres ideas sobre eso, en el blog encontrarás algunas.
- No descuidar el aporte de colina en la dieta, pues mucha grasa combinada con déficit de colina puede no ser buena idea (ver). Si se tiene hígado graso pero se está delgado, puede que el origen del hígado graso tenga más que ver con esa deficiencia que con la resistencia a la insulina.
- Dejar por completo cualquier tipo de azúcar añadido y farináceos (cereales, pan, pasta, pizza, y harinas, integrales o refinadas). Evitar especialmente la fructosa añadida.
- No tomar refrescos azucarados (ver) y por precaución tampoco con otros edulcorantes, pues esos edulcorantes también los procesará el hígado.
- Si los niveles de hierro están demasiado elevados, como me pasaba a mí, donar sangre puede ayudar a normalizar la función hepática (ver).
- Evitar los aceites de semillas (girasol, soja, etc.) por su elevado contenido en ácidos grasos poliinsaturados (ver). Los alimentos con omega-3 no parecen ser problemáticos e incluso pueden ser beneficiosos (ver,ver).
Como nota adicional, si se tiene hígado graso pero se está delgado, no hay que confiarse: la estadística dice que las probabilidades de acabar con diabetes tipo 2 se han multiplicado por cuatro (ver), el doble de probable que si se tuviese sobrepeso pero no hígado graso. Solo es estadística, pero…
Algunos estudios
En cinco semanas, una dieta paleolítica (sin lácteos, cereales, azúcar, grasas refinadas, alubias, refrescos ni productos de panadería) que redujo los carbohidratos del 280 g/día a 118 g/día (menos de la mitad), redujo la grasa en el hígado a la mitad. En este experimento se controló muy bien lo que comían los participantes (gran parte de la comida preparada en un hospital, aunque se podían consumir otros productos permitidos).
En dos semanas la grasa hepática se redujo un 55% con la dieta restringida en carbohidratos, pero solo un 28% con dieta restringida en calorías. La dieta restringida en carbohidratos tenía 200 kcal/día más que la hipocalórica.
Reducir la ingesta calórica, y concretamente la cantidad de fructosa, mejoró las transaminasas.
Tras tres meses con una dieta cetogénica se observó remisión completa del hígado graso en el 21% de los pacientes, y una reducción global en el 93%. Todos los participantes acabaron sin síndrome metabólico.
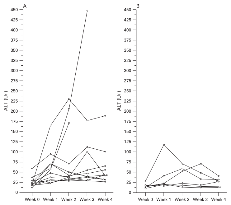
Los participantes consumieron al menos dos comidas diarias basadas en comida rápida, lo que les hizo engordar una media de 6.4 Kg. La ALT creció considerablemente en los hombres (panel A), aunque también se elevó en las mujeres (panel B). El incremento de la ALT guardó relación con la ingesta de carbohidratos, pero no con las calorías totales, el consumo de grasa o el de proteína.
Una pequeña reducción en el consumo de fructosa y en el índice/carga glucémica resultó en una mejora de los marcadores de disfunción hepática.
«The Effect of a Low-Carbohydrate, Ketogenic Diet on Nonalcoholic Fatty Liver Disease: A Pilot Study»
Seis meses de una dieta cetogénica (baja en hidratos de carbono) llevó a una pérdida significativa de peso y a mejoras histológicas en el hígado graso. El efecto pudo ser debido a la restricción de carbohidratos o a la pérdida de peso. Aunque solo hubo 4 participantes que siguieran la dieta, las biopsias hepáticas pre y post-intervención revelaron mejoras en la esteatosis y el grado necroinflamatorio del hígado.
«Dietary Fat Content Modifies Liver Fat in Overweight Nondiabetic Subjects»
En dos semanas una dieta alta en carbohidratos y baja en grasa redujo más la grasa hepática que una dieta con más grasa y menos carbohidratos (30%carbs).
Siendo que la insulina en ayunas y los triglicéridos mejoraron con la dieta más alta en carbohidratos y empeoraron con la dieta supuestamente baja en carbohidratos, no creo que las 10 mujeres de este experimento siguieran de verdad las dietas que dice el artículo. Por ejemplo, se sabe que los carbohidratos aumentan los triglicéridos (hipertrigliceridemia inducida por carbohidratos, (https://doi.org/10.1093/jn/131.10.2772S, https://www.ncbi.nlm.nih.gov/pmc/articles/PMC408572), ¿y en este experimento la dieta high-carb los baja y la low-carb los sube? Ni siquiera los autores del artículo fueron capaces de explicar esos cambios en los triglicéridos.
A los participantes se les dió o bien un exceso de azúcar (HS-) o un exceso de grasa y azúcar (HFHS-), en dos modalidades: junto con las tres comidas principales (-S) o como snack entre comidas (-F). El resultado es que el snack de azúcar provocó el mayor aumento, con diferencia, de grasa en el hígado (IHTG).
«Hepatic Steatosis and Increased Adiposity in Mice Consuming Rapidly vs. Slowly Absorbed Carbohydrate«
Ya hemos visto en un estudio en humanos que una dieta con bajo índice glucémico había mejorado las transaminasas.
Cuidado porque el estudio es en ratones. Dos dietas que diferían solo en la velocidad de absorción de carbohidratos: doble de grasa en el hígado con la de rápida absorción.
Hay estudios observacionales en humanos (ver,ver) que nos llevarían a la misma conclusión: los carbohidratos de rápida absorción son los peores para el hígado graso en personas con resistencia a la insulina.
Durante dos meses una dieta muy hipocalórica (600 kcal/día) redujo la grasa en el hígado.
Durante seis semanas una dieta con un 34% de carbohidratos mejoró más el contenido en grasa del hígado que una dieta con un 49% de carbohidratos (IHL es el contenido en lípidos del hígado). Esa dieta, la marcada como MD en la gráfica tenía más del doble de grasa que la otra y muchas más calorías (un 19% más).
En un mes hacer ejercicio redujo la grasa en el hígado un 21%, sin que la pérdida de peso pueda explicar el efecto. Este otro review concluye que el ejercicio es beneficioso para prevenir el hígado graso.
Un litro de refresco azucarado al día tuvo un efecto en la grasa hepática mucho peor que beber agua, leche o refrescos endulzados con aspartamo.
«Effects of Dietary Interventions on Liver Volume in Humans»
Seis días de dieta low-carb redujeron la grasa hepática tanto como siete meses de dieta hipocalórica. Barra blanca es la dieta low-carb, la barra negra es la hipocalórica.
La dieta MMD, la que tenía más grasa y menos carbohidratos fue la que más redujo la ALT.

«Association of nonalcoholic fatty liver disease with insulin resistance»
El hígado graso está relacionado con la resistencia a la insulina, incluso en personas sin sobrepeso y con tolerancia normal a la glucosa. Eso sugiere que el vínculo entre hígado graso y resistencia a la insulina no precisa la presencia de obesidad ni diabetes.
La de novo lipogenesis sí contribuye de forma importante (cuarta parte del total) a los triglicéridos almacenados en el hígado y a los exportados en el VLDL en pacientes con NAFLD.
Un exceso de 100 kcal diarias en forma de azúcares aumentó el contenido en grasa del hígado un 27%. La de novo lipogenesis aumentó en consonancia con el aumento de grasa hepática. La respuesta del individuo fue diferente según los genes analizados en el estudio.
«Human Fatty Acid Synthesis Is Stimulated by a Eucaloric Low Fat, High Carbohydrate Diet»
La sustitución de grasa a favor de más carbohidratos estimuló en el hígado la síntesis de ácidos grasos (de novo lipogenesis) y la acumulación en el plasma de triglicéridos enriquecidos en palmitato y deficientes en linoleato. Si los carbohidratos eran complejos la tasa de creación de ácidos grasos era más reducida.
En ratones (repito: en ratones) los ácidos grasos poliinsaturados parecen estar directamente implicados en el agravamiento (inflamación) del hígado graso, en hígado graso inducido por una dieta deficiente en colina.
En participantes con obesidad abdominal siguiendo una dieta alta en hidratos de carbono durante 10 semanas, la sustitución de unos tipos de grasa por otras (PUFA en lugar de SFA) apenas produjo cambios en la concentración de triglicéridos en el hígado (como máximo ±1%).
«A low-carbohydrate diet rapidly and dramatically reduces intrahepatic triglyceride content»
Cinco semanas de una dieta baja en hidratos de carbono (y en calorías: 1000 kcal/día) redujeron el contenido en triglicéridos del hígado de un paciente desde un 44.6% inicial hasta un 11.9%. Antes de la dieta la resonancia magnética daba un pico muy claro (curva azul) en contenido en triglicéridos. Tras la dieta baja en hidratos de carbono (curva roja), el pico de los triglicéridos se ha reducido drásticamente .
Añado (28/9/2015): «Effect of a High-Fructose Weight-Maintaining Diet on Lipogenesis and Liver Fat»
Nueve días de una dieta alta en fructosa aumentaron la tasa de de novo lipogenesis y la grasa en el hígado, en comparación con una dieta en la que en lugar de fructosa se consumieron carbohidratos complejos.
Añado (9/10/2015): «A pilot study to explore the role of a low carbohydrate intervention to improve GGT levels and HbA1c»
Trece meses de dieta baja en hidratos de carbono redujo los niveles de GGT en todos los participantes. En término medio −29.9 iu/L. En la gráfica se muestra que la reducción en la GGT no guardó relación con la pérdida de peso.
Añado (14/9/2016): «Increased liver fat and glycogen stores following high compared with low glycaemic index food: a randomized cross over study»
Estudio en humanos (ocho varones sanos) comentado en esta entrada del blog. En sólo una semana de dieta, con la dieta de mayor índice glucémico la grasa hepática aumentó, mientras que con la dieta de menor índice glucémico la grasa hepática se redujo. Sin diferencias ni en la ingesta energética ni en el reparto de macronutrientes.

Añado (26/02/2017): «Comparative study of the modulation of fructose/sucrose-induced hepatic steatosis by mixed lipid formulations varying in unsaturated fatty acid content»
Experimento en ratones. Se compara la acumulación de grasa en el hígado con tres dietas y dentro de ellas variantes con distintas proporciones de ácidos grasos insaturados. Misma ingesta energética y misma distribución de macronutrientes. La mayor acumulación de grasa se dio en la dieta con fructosa como carbohidratos y algo menos en la que tenía sacarosa como carbohidratos. Sin influencia del tipo de grasa insaturada empleada.
La gráfica de la de novo lipogénesis también es sugerente:


Añado (21/4/2017): «Reducing Liver Fat by Low Carbohydrate Caloric Restriction
Targets Hepatic Glucose Production in Non-Diabetic Obese
Adults with Non-Alcoholic Fatty Liver Disease»
8 semanas de dieta muy hipocalórica (800 kcal/d) y muy baja en carbohidratos (<20g) redujeron la grasa intrahepática en todos los participantes.

Añado (2/12/2017): «Impact of liver fat on the differential partitioning of hepatic triacylglycerol into VLDL subclasses on high and low sugar diets»
Experimento en humanos de 3 meses de duración. Dietas isocalóricas y con mismo reparto de macronutrientes, pero con distinto porcentaje de azúcar. La que tiene más azúcar resulta en más grasa corporal y mucha más grasa en el hígado, especialmente en las personas que ya tienen hígado graso.

Añado (26/2/2019): «Effects of Dietary Fructose Restriction on Liver Fat, De Novo Lipogenesis, and Insulin Kinetics in Children With Obesity»
Un cambio en la dieta durante 9 días produjo reducción en la grasa intrahepática, incluso en ausencia de pérdida de peso. La dieta pretendía ser baja en fructosa, sustituyendo azúcar por almidón.

Añado (15/8/2021): «An Integrated Understanding of the Rapid Metabolic Benefits of a Carbohydrate-Restricted Diet on Hepatic Steatosis in Humans«.
Evolución de la grasa hepática en 14 días de dieta eucalórica baja en carbohidratos y alta en proteína.

Leer más:











Yo siempre he leido/oido que el consumo de alcohol aumenta el contenido en grasa del hígadola y los triglicéridos. ¿Sera que el alcohol trabaja en el cuerpo como el carbohidrato?
Hola Johnny,
la verdad es que no he buscado información sobre esa posible similitud.
Mi hígado graso era con total seguridad no-alcohólico y no he tenido interés en leer sobre los efectos del alcohol.
‘The absolutely key point is that dietary carbohydrates and not dietary fat cause NAFLD’
Como el hígado graso está estadísticamente asociado con la enfermedad cardiovascular, si tienes hígado graso tómate una estatina, que no tiene nada que ver con el hígado graso y cuyos efectos sobre la salud parecen más negativos que positivos.
(Fuente)
Si alguien entiende los «razonamientos» de los médicos que me los explique, por favor.
El hígado graso no alcohólico está asociado a factores de riesgo cardiovascular. Es estadística, pero puede tener una explicación fisiológica por la resistencia a la insulina.
Hace años me diagnosticaron hígado graso y el médico de digestivo me recomendó una dieta baja en lactosa fructosa y grasa. Al de un año la eco confirmó que el hígado graso se había corregido y los valores de la transaminasas entraban dentro de lo aceptable. Seguí muchos años con la dieta, hasta que me confíe y me descuidé. Ahora vuelvo a tener hígado graso, pero esta vez el informe dice «esteatosis difusa» … lo cual creo que es más grave que antes. ¿Sabes si aun es posible recuperarse con esta dieta o si por lo menos se podrá evitar la cirrosis?
Gracias por tanta información y detalle.
Hola Íñigo,
no tengo ni idea. En mi informe de ecografía también aparecía la palabra «difusa», por lo que quizá no es tan grave como puedes creer y antes de asustarte consúltalo con un médico.
Mi consejo es que sin susto o con susto, te cuides.
Gracias Vicente, si parece que en tu informe dice lo mismo o algo muy parecido.
Hola Vicente cuanto duraste reservando tu hígado graso ? es que no puedo abrir las gráficas
saludos cordiales
Discula es reversando
No lo sé exactamente, Dean. No tengo análisis clínicos de aquella época con suficiente frecuencia como para poder establecer un tiempo. Pero a la vista de los artículos científicos, en unas pocas semanas de cambio dietario debería haber un claro efecto en los indicadores hepáticos (transaminasas).
Te agradezco el comentario Vicente
Saludos cordiales y gracias por compartir un abrazo
Hola Dean,
¿Como vas con tu hígado graso?
Yo también tengo el mismo problema.
Saludos.
Hola Vicente,
Estoy asombrando por tu excelente sitio, ya que contiene información muy útil.
Necesito de tu ayuda porque hace dos meses me diagnosticaron hígado graso.
¿En cuanto tiempo se vio mejoría por ecografia?
Saludos!
http://www.journal-of-hepatology.eu/article/S0168-8278(15)00348-7/pdf
Bebidas azucaradas, fructosa e hígado graso no alcohólico
Hígado graso, por Leónidas
¿Debería dejar de llamarse «hígado graso no-alcohólico» y ser denominado «hígado graso inducido por carbohidratos y dinero»?
Bueno, es que el hígado graso no alcohólico lo producen los productos de origen animal, como las madalenas.
Mi interpretación es que los puntos negros representan los valores iniciales de GGT. En aquellos clientes en los que la GGT se redujo con una dieta low-carb, el cambio se representa con una línea verde. Las líneas rojas son para los que aumentaron su GGT.
Veo que en este excelso «simposio» falta la palabra amilina. Resulta que las dietas restrictivas en «azucares» inducen déficit de amilina, haciendo que la glucosa pase a la sangre más rápido lo cual parece ser coadyuvante en el EHNA así como en la resistencia a la insulina y en la diabetes tipo 2. En realidad el mal denominado síndrome metabólico parece tener su origen en este desorden y parece ser que toda diabetes es en origen un déficit de amilina; en la diabetes 1 el problema surge incluso antes de nacer.
https://www.argentinadiabetes.org/la-amilina-hermana-gemela-de-la-insulina/#.XDseVFUzZNA
Si reduces drásticamente los azucares (disacáridos de glucosa y fructosa) en tu dieta puedes inducir a tu organismo a no producir amilina para evitar bajón de glucosa que es potencialmente mortal. Esto no es un fallo del organismo sino un mecanismo de prevención. Cuando detecta que no se introduce glucosa durante largos periodos decide no producir amilina para que todo tipo de sacáridos se acumulen en organismo (en el hígado especialmente) para suministrarlos cuando haga falta.
Efectivamente reduciendo la ingesta de glucosa tiramos del glucógeno del hígado (reduciendo el hígado graso) pero la dieta no debe ser totalmente restrictiva ni en glucosa ni en calorías ni esperar resultados a corto plazo ni ser excesivamente estricta. Lo mejor es ponerse en contacto con un dietista que sepa de todo esto (lamentablemente muy pocos) y estudie el caso.
Si alguien conoce a algún dietista lego en este asunto por favor que no deje de recomendarlo.
Lo que es estúpido es creer que la grasa se acumula en el hígado por cantidad ingerida. «Stephan» Masterjohn sigue en caída libre.
La nutrición son unas risas continuas, incluido Masterjohn tal y como bien comenta Petro: The internet is a strange place.
La arrogancia característica de los «Stephan»…
«Stephan» Masterjohn nos cuenta una milonga equivalente a CICO, tomando los «Fat In» a nivel corporal en lugar de en el hígado. ¿Qué regula la entrada de ácidos grasos en el hígado? ¿Es pasivo? ¿Qué papel juegan la insulina y la fructosa en ese tráfico de ácidos grasos y en la de novo lipogénesis?
https://novuelvoaengordar.com/2016/04/27/fructosa-e-higado-graso-no-alcoholico/
Una anormalidad destacada del NAFLD es el aumento en la DNL. La DNL hepática está aumentada en los individuos con NAFLD, mientras que la contribución de la grasa dietaria y de los FFA a los lípidos hepáticos no se ve alterada significativamente.
La insulina promueve fuertemente la DNL hepática a través de la activación del principal regulador transcripcional de la lipogénesis, la proteína de unión al elemento regulador de esteroles (SREBP)-1c, lo que induce toda la cascada de genes necesarios para la síntesis de ácidos grasos. La insulina, de una forma dependiente de la concentración, también estimula la absorción de ácidos grasos libres por parte del hígado, lo que ayuda aún más a la de novo lipogenesis.
¡Exacto! ¿Si funciona para revertir una condición médica, por qué es «estúpido»?
Bueno … No es tan fácil. Tiene lógica pensar que si en tu dieta no ingieres más del 25% de grasa a largo plazo tu cuerpo no superará el 25% de grasa … Lo cual es lo lo ideal. Si consumes más grasa y menos carbohidratos no parece tan lógico, aunque si es cierto que a falta de carbohidratos se consumirán las grasas y si el hígado es capaz de rechazar las grasas ingeridas quemara las reservas de glucógeno y si, efectivamente el hígado graso se reducirá.
En un par de meses hará dos años que llevo una dieta restrictiva de azúcares y grasas … Veremos que dice la ecografía. Hace un año tan solo había una leve mejoría incluso a pesar de haber bajado 14 kilos … Con lo cual no es sólo una cuestión de bajar peso, este último año he incluido en la dieta mayor ingesta de colina… Ya os contaré.
La lógica que tiene eso se llama «cero lógica».
¿Porqué lo dices? Hasta lo que yo sé (igual me equivoco eee) de donde no hay no se puede sacar, y las grasas no se sintetiza en nuestro organismo, es decir, si no comes nada de grasa es imposible que te cuerpo la acumule, también es cierto que morirías si no ingirieras grasa pero fuera a parte de ese pequeño detalle … Lógica en esto hay, que sea de otra manera porque existe un razonamiento científico (incluso hipótesis) no lo discuto, pero no parece que nadie aporte dicho razonamiento o hipótesis. ¿Puedes hacerme una breve exposición? De verdad, creéme que soy el primer interesado en comprenderlo. En este sentido lo más cuerdo que he leído al respecto es que la colina (que es una vitamina formada por moléculas de grasa) favorece la metabolización de las grasas. Si ingieres este alimento´( presente en principalmente en las grasas vegetales y de los pescados) en gran proporción tu cuerpo es capaz de aprovechar las grasas acumuladas y sin duda tendás grandes posibilidades de reducir la grasa del hígado. Fuera a parte de esto, que no es poco … ¿hay algo más de ciencia al respecto de la pseudo-hipótesis de que comiendo más grasa acumulas menos grasa?
Algunos razonamientos convincentes (https://migymencasa.com/cuando-se-almacenan-los-carbohidratos-en-forma-de-grasa/)
«en una persona obesa sus células musculares estarán en un estatus de energía alto, rechazando gran parte de esta glucosa que irá a parar al tejido adiposo»
«Aún así necesitamos ácidos grasos para almacenar esa glucosa en forma de grasa.»
«Necesitamos glucosa para almacenar la grasa ingerida, pero no necesitamos ingerir dicha glucosa, […] nuestro hígado es capaz de producirla»
«baja insulina son características de condiciones de baja energía y va a hacer que se incremente el uso de grasa como combustible […] sólo si obtenemos más de la necesaria la mandaremos al tejido adiposo»
«la grasa INGERIDA [ojo al dato] se almacena en forma de grasa sólo en estos 3 casos:»
1:
«cuando tenemos la insulina elevada facilitamos que la grasa ingerida se transforme en grasa»
2:
«cuando nuestros adipocitos (células grasas), no quieran más grasa, también va a contribuir a segregar más insulina. Esto ocurre cuando tenemos obesidad, resistencia a la insulina o tras una comida muy alta en grasa»
3:
«grasa a partir de los carbohidratos que comes: La Lipogénesis de Novo, una manera poco eficaz de ponerte gordo (https://www.ncbi.nlm.nih.gov/pubmed/10365981)»
> «se almacenan de 1 a 2 gramos al día [En una dieta normal]»
> «dieta (70% CH, 15% grasa) podías almacenar unos 10 gr de grasa [ojo esta dieta es una burrada]»
> «Si los carbohidratos totales son mayores que el total de gasto energético […] el resto [de la grasa ingerida ] iría a transformarse [quiere decir acumularse]»
Por otra parte, basta con rebuscar un poco por ahí para ver que la obesidad y valores de ALT/GPT anormales (pero no muy elevados) estan relacionados con el deficit de amilina y/o colina. (https://www.saludbox.com/project/colina/)
https://www.ncbi.nlm.nih.gov/pubmed/16940371
¿Causado por la pérdida de peso, en sólo 3 días?
https://www.gastrojournal.org/article/S0016-5085(09)00150-4/pdf
Hola! Sigo tu blog desde hace tiempo, sobre todo lo leía por el tema de adelgazar y tus argumentos sobre la teoría cico. Sin embargo, recientemente he tenido un trastorno muy raro y grave, hígado graso agudo como consecuencia del embarazo.para q te hagas a la idea la enzima gpt(alt)en suero ha llegado a superar los 1200.los médicos me dicen que el estilo de vida no tiene nada q ver, estoy pendiente de estudios más profundos, incluyendo genéticos. Me preguntaba si sabes algo sobre este trastorno, espero que no te importe la pregunta, realmente hay muy poca información al respecto y me gustaría saber si puede influir en algo si llevo una dieta low carb. Gracias y feliz año nuevo!
Hola Petro,
siento mucho que tengas ese problema. Espero que se resuelva pronto. Te deseo mucha suerte.
No, no tengo ni idea del tema. Además, dices que causado por el embarazo. Es la primera vez que leo que alguien tiene un problema hepático a causa de un embarazo. Como digo, no tengo ni idea de qué puede estar pasándote. Lo siento mucho.
Feliz año y ojalá se resuelva pronto lo que te sucede.