¿Es esto adelgazar? (VIII)
Intervención para pérdida de peso en la que se comparan diferentes tipos de actividad física.
La ingesta energética se redujo en todos los grupos y se mantuvo en todo momento claramente por debajo de los valores de partida:
All groups significantly decreased total energy intake and the percentage of energy consumed as fat (P<.001). However, the nonsignificant group ϫ time interaction indicates that the change in energy intake measured at 0, 6, and 18 months was similar among the LB (7308.6 [3197.4] to 5446.3 [2572.3] to 5874.8 [2946.4] kJ/d), SB (8169.7 [4719.6] to 5714.5 [2249.3] to 6716.6 [4491.1] kJ/d), and SBEQ (8003.6 [4960.1] to 6144.2 [4777.3] to 6178.5 [4448.4] kJ/d) groups.
En forma de tabla (kcal/d):
| Grupo\Mes | 0 | 6 | 18 |
| LB | 1747 | 1302 | 1404 |
| SB | 1953 | 1366 | 1605 |
| SBEQ | 1913 | 1469 | 1477 |
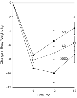
Independientemente de la modalidad de ejercicio físico, la pérdida de peso no se prolongó más allá de los primeros meses. A partir de ese momento, recuperación del peso perdido:

Y lo que están recuperando es grasa corporal:

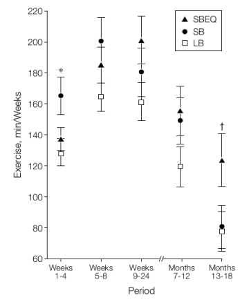
Aunque con el tiempo han reducido el nivel de ejercicio físico (ojo a los ejes, porque la gráfica es engañosa: el vertical no empieza en cero y el horizontal hace parecer que se redujo rápidamente el nivel de actividad, al resumir en la parte final periodos largos con muy pocos puntos), siguen teniendo bastante actividad física:

Comen menos, hacen ejercicio y están recuperando grasa corporal. No se están saltando la dieta ni el plan de ejercicios, y no han conseguido adelgazar.
Leer más:
- Dos años con ejercicio físico y dieta. Y un elefante en la habitación
- ¿Es esto adelgazar? (I)
- ¿Es esto adelgazar? (II)
- ¿Es esto adelgazar? (III)
- ¿Es esto adelgazar? (IV)
- ¿Es esto adelgazar? (V)
- ¿Es esto adelgazar? (VI)
- ¿Es esto adelgazar? (VII)
- ¿Qué pasará mañana?
- “Tenemos que dejar de recomendar tratamientos inefectivos para pérdida de peso”
- Si es cierto que “comer menos” NO adelgaza, ¿cómo es que nadie nos lo dice?
Un Comentario