Etiquetado: dieta vegana
¿Dieta vegetariana para pérdida de peso?
«Vegetarian Diets and Weight Reduction: a Meta-Analysis of Randomized Controlled Trials«
Voy a examinar los datos procedentes de este metaanálisis que recopila estudios de pérdida de peso con dietas vegetarianas. Muchos de esos estudios son de seis meses o menos de duración, y por tanto no sirven para nada, pues a corto plazo cualquier dieta te hace perder unos kilos (ver). El riesgo con este tipo de metaanálisis, que a menudo no son más que una forma de mentir (ver,ver,ver), es que alguien quiera engañarnos interpretando cualquier diferencia con otras dietas inefectivas como si fuera prueba de efectividad a largo plazo, que es lo relevante. Hay que estar atentos para que no nos engañen y el mejor antídoto es mirar uno mismo los datos de los artículos incluidos en los metaanálisis.
¿Hay algún estudio a largo plazo que permita deducir que una dieta vegana o vegetariana puede ser efectiva para adelgazar (i.e. perder una cantidad importante de peso y mantener lo perdido a largo plazo)? Yo no lo he visto.
Repaso los experimentos incluidos en el metaanálisis que tienen una duración de al menos un año.

«A low-fat vegan diet and a conventional diabetes diet in the treatment of type 2 diabetes: a randomized, controlled, 74-wk clinical trial«
Estudio de año y medio de duración. Se compara dieta vegana con dieta «convencional» (si ni aun así gana, sería para echarse a llorar). Antes de ver los datos finales de pérdida de peso, me interesa resaltar que en los estudios de pérdida de peso hay que buscar la evolución con el tiempo de la pérdida de peso corporal, porque no es lo mismo haber perdido 5 kg en año y medio siendo la pérdida progresiva, que perder 7 kg en los dos primeros meses y luego estar recuperando peso y que al cabo de ese año y medio la pérdida ya sea de sólo 5 kg. Por ejemplo, en este estudio nos dan la evolución con el tiempo de la hemoglobina glucosilada y lógicamente la evolución hace pensar que ha habido un efecto a corto plazo, pero que a largo plazo estas dietas no están funcionando.

En cuanto al peso corporal, se perdieron 4.4 kg en año y medio de dieta vegana.

Pero como decía, más importante que esa cifra es saber si están perdiendo peso o si lo están recuperando. Vamos a ver a continuación un artículo previo de ese mismo experimento que nos da un dato anterior de pérdida de peso.
«A low-fat vegan diet improves glycemic control and cardiovascular risk factors in a randomized clinical trial in individuals with type 2 diabetes«
A los 5 meses y medio, el grupo de dieta vegana había perdido 5.8 kg. Siendo que, como hemos visto antes, la pérdida de peso era de sólo 4.4 kg un año después, esto quiere decir que durante el último año estuvieron recuperando peso:

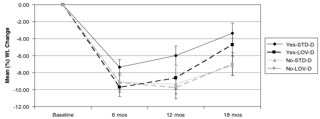
«A randomized clinical trial of a standard versus vegetarian diet for weight loss: the impact of treatment preference«
Estudio en el que los participantes son asignados a cuatro grupos diferentes, de una forma un tanto atípica. Me da igual el cómo y el por qué de ese proceso, a la vista de la gráfica de evolución del peso corporal en los cuatro grupos:

«A Two-Year Randomized Weight Loss Trial Comparing a Vegan Diet to a More Moderate Low-Fat Diet«
En el grupo vegano, pérdida de 4.9 kg en un año, que se reduce a 3.1 kg al cabo de dos años.
The vegan group participants lost more weight than the NCEP group at 1 year [-4.9 (-0.5, -8.0) kg vs. -1.8 (0.8, -4.3) kg, respectively; p < 0.05] and at 2 years [-3.1 (0.0, -6.0) kg vs. -0.8 (3.1, -4.2) kg, respectively; p < 0.05]
«Comparison of the Atkins, Zone, Ornish, and LEARN Diets for Change in Weight and Related Risk Factors Among Overweight Premenopausal Women«
Sin comentarios.

«Comparison of the Atkins, Ornish, Weight Watchers, and Zone Diets for Weight Loss and Heart Disease Risk Reduction«
De este estudio ya hablé en esta entrada, comentando que todas las dietas habían sido esencialmente la misma. La tabla de pérdida de peso (kg) al cabo de un año en los cuatro grupos dietarios muestra que no se llegó a los 4 kg:

Mis conclusiones
No te puedes fiar de nadie. La industria de la pérdida de peso (i.e. nutricionistas y gurús del fitness) te va a hacer creer que sus consejos son lo que se sabe que hay que hacer para adelgazar. Te darán detalles de cómo lo tienes que hacer, te hablarán de adherencia, te hablarán de que lo importante es que cambies tus hábitos de forma permanente, te dirán que tienes que perder el peso poco a poco y te dirán también que si dejas de seguir sus consejos recuperarás todo lo perdido. Y te van a ocultar los resultados reales a largo plazo de sus recomendaciones: te van a ocultar que sus consejos han fracasado sistemáticamente en los estudios científicos, cuando estos tienen suficiente duración. Si estás desinformado/a, te van a engañar y acabarás culpándote de no haber conseguido nada.
Por si acaso, tampoco te fíes de mí. Yo no tengo ningún interés por engañar a nadie, pero me puedo equivocar.
Leer más:
- ¿Es esto adelgazar? (I)
- ¿Es esto adelgazar? (II)
- ¿Es esto adelgazar? (III)
- ¿Es esto adelgazar? (IV)
- ¿Es esto adelgazar? (V)
- ¿Es esto adelgazar? (VI)
- ¿Es esto adelgazar? (VII)
- ¿Es esto adelgazar? (VIII)
- ¿Es esto adelgazar? (IX)
- ¿Es esto adelgazar? (X)
- ¿Es esto adelgazar? (XI)
- ¿Es esto adelgazar? (XII)
- ¿Es esto adelgazar? (XIII)
- ¿Es esto adelgazar? (XIV)
- ¿Es esto adelgazar? (XV)
- ¿Es esto adelgazar? (XVI)
- ¿Es esto adelgazar? (XVII)
- ¿Es esto adelgazar? (XVIII)
- ¿Es esto adelgazar? (XIX)
- ¿Es esto adelgazar? (XX)
- ¿Campañas públicas contra la obesidad? Dejadnos en paz, ineptos
- El estigma de la obesidad
- Las dietas hipocalóricas son dietas milagro (1 de 2)
- Dos años con ejercicio físico y dieta. Y un elefante en la habitación
- Nuestro cuerpo se resiste a mantener el peso tras haber adelgazado unos kilos, ¿mito o realidad?
- “Tenemos que dejar de recomendar tratamientos inefectivos para pérdida de peso”
- “Adelgaza poco a poco”, otro consejo sin base científica
- “Comer menos” no es un método de adelgazamiento basado en evidencia científica
- “Registrar la comida mejora la adherencia a la dieta y por tanto los resultados”
- Dieta cetogénica en personas con sobrepeso y diabetes tipo 2, y algunas reflexiones sobre la adherencia a las dietas